Come... Studiare travi e pilastri in calcestruzzo armato

Top  Previous  Next

 

 Cesco Plus dispone di un insieme di comandi espressamente progettati per consentire di eseguire rapidamente la progettazione delle armature delle travi o dei pilastri in calcestruzzo armato. L’idea che sta alla base del lavoro è quella di fornire degli strumenti rapidi,  verificabili e di semplice gestione, atti a scegliere la armatura longitudinale e le staffe più adatte ad armare uno o più elementi strutturali.

 Il programma fa una serie di ipotesi semplificative, basate sulla circostanza essenziale che vede previlegiare una progettazione di semplice realizzazione rispetto ad una progettazione basata sul minimo peso. Il programma assume che i ferri longitudinali siano rettilinei (niente piegati), e che siano di al più due diametri. Il taglio è affidato interamente alle staffe.

 Grazie a queste ipotesi si hanno schemi di armatura chiari e leggibili che non richiedono alcun approccio fideistico e lasciano poi comunque al progettista la più ampia libertà di manovra. La aggiunta indiscriminata di numerossissimi dettagli d’armatura senza che da parte del progettista possa esserci il minimo controllo, sembra una procedura estremamente pericolosa e comunque difforme dalla regola che prevede come dominus il progettista e non il software. Nota l’area minima di armatura – sezione per sezione – il progettista potrà comporre l’armatura come meglio riterrà opportuno, accettando in tutto o in parte le proposte fatte dal programma.

 A questo riguardo va osservato che Cesco – grazie ad un procedimento iterativo – calcola in ogni sezione della trave in esame il quantitativo minimo di armatura necessario a rispettare le verifiche previste dalla norma (tensioni ammissibili o stati limite). Grazie a questo sistema, Cesco è in grado di dare il diagramma della minima area di armatura longitudinale che di fatto ottimizza lo sfruttamento dell’acciaio e che costituisce il vero punto di partenza per la progettazione della armatura corrente.

 In pratica l’utente farà un certo numero di scelte preliminari (Imposta) come la classe di resistenza del calcestruzzo, quella di resistenza dell’acciaio, il diametro dei ferri longitudinali e delle staffe, il copriferro, la presenza di armatura semplice o doppia. Fatte queste scelte il programma darà una serie di importanti informazioni.

 La prima informazione che viene fornita è il quantitativo minimo di acciaio da mettere all’estradosso ed all’intradosso. Questo quantitativo viene fornito sotto forma diagramma avente in ordinata l’area minima dei tondini da mettere (Min A M).

 Una seconda importante informazione è il numero e la disposizione delle barre longitudinali da inserire (Diagramma Barre), nell’ipotesi di usare barre aventi al più due distinti diametri.

 Una terza informazione è il vero e proprio layout delle barre, estratte dall’elemento strutturale (Layout Barre), e anche esportabili al formato dxf (DXF Layout Barre.).

 Con il comando Interroga è possibile conoscere i dettagli del calcolo fatto dal programma. Il funzionamento del comando cambia a seconda che si stia usando una norma agli stati limite o una norma alle tensioni ammissibili.

 Per quanto riguarda le staffe vengono forniti il quantitativo di area d’acciaio emergente per unità di lunghezza (Min A T) ed il passo delle staffe aventi il numero di bracci ed il diametro prescelto (Staffe).

 Completa l’insieme dei comandi disponibili il comando che consente di avere una stima dei quantitativi di acciaio paragonandoli con quelli minimi teorici (Statistiche).

 

 I calcoli sulle barre sono disponibili per le seguenti sezioni:

·        Sezioni rettangolari con orientazione pari a 0° (le situazioni ruotate sono facilmente ottenibili assegnando opportunamente base e altezza);

·        Sezioni a T con orientazione 0° e 180°. Sono escluse le sezioni a T con orientazione 90° o 270°.

 

A partire dalla versione 5.0 di CESCO PLUS è possibile eseguire i calcoli sia alle tensioni ammissibili (in questo caso solo su elementi inflessi) che agli stati limite ultimi e di esercizio (elementi inflessi, compressi, o presso-inflessi). Nel seguito si danno informazioni più in dettaglio in merito alle verifiche agli stati limite (Eurocodice 2, NTC 2008).

 

Progetto/verifica agli SLU per tensioni normali (EN 1992, NTC 2008)

 

Dato un certo insieme di impostazioni fornite dall’utente (e che determinano il funzionamento del programma), CESCO PLUS esegue un procedimento iterativo volto al fine di determinare in ogni sezione di ogni membratura quale area minima è necessario disporre. Per fare questo il programma inizializza l’armatura con quella minima di legge. Poi vengono eseguite per tutte le combinazioni le verifiche allo SLU con le sollecitazioni applicate, eventualmente traslando il diagramma di momento di quanto necessario, ed eventualmente amplificando le sollecitazioni di calcolo (N ed M) del fattore r specificato dall’utente. Se le verifiche sono soddisfatte l’area resta quella iniziale, se invece qualche verifica non è soddisfatta, allora l’area viene incrementata di una certa piccola quantità e le verifiche vengono rieseguite. Le verifiche vengono di fatto realizzate creando il dominio limite per la sezione allo studio e verificando che tutti i punti corrispondenti alle sollecitazioni di verifica (eventualmente amplificate da un fattore r) siano all’interno del dominio limite. Il procedimento si arresta al primo quantitativo di area di acciaio che fa sì che le verifiche agli stati limite ultimi per tensioni normali siano soddisfatte. Se si arriva al massimo quantitativo previsto dalla norma, ovvero alle massime percentuali di armatura previste da EN 1992-1-1, allora questo vuole dire che è il dimensionamento della sezione ad essere insufficiente: questa condizione, importante indice di un progetto errato, viene opportunamente segnalata da un messaggio di errore.

Se invece il procedimento si arresta prima dell’attingimento della massima percentuale di armatura, allora la quantità di acciaio determinata diventa l’”area minima” calcolata dal programma per quella sezione. Va osservato che il programma non esegue le verifiche usando l’inviluppo delle sollecitazioni, poiché ciò sarebbe impreciso. Al contrario il programma di fatto crea un inviluppo di quantitativo di acciaio, ovvero determina il minimo quantitativo atto a soddisfare tutte le verifiche allo SLU per tensioni normali. Nel fare i calcoli il programma fa quindi un ciclo sulle combinazioni di verifica, oltre ad un ciclo sulle sezioni di verifica ed un ciclo sui rami che compongono le membrature. Il calcolo viene eseguito rispettando il rapporto tra armatura tesa ed armatura compressa specificato dall’utente. Nel corso della analisi delle varie combinazioni il programma tiene conto delle richieste in merito alla posizione dell’area tesa, e considera prevalente la posizione che corrisponde al maggior sfruttamento: ad esempio se tutte le combinazioni hanno momenti positivi e una sola momento negativo, se questa ultima richiede un maggior quantitativo di acciaio di tutte le altre sarà questa a determinare la posizione finale dell’acciaio. Viceversa, se nel verificarla con la posizione adatta alle verifiche in tutte le altre combinazioni la verifica è soddisfatta, allora rimarrà la posizione stabilita per mezzo delle altre combinazioni. Questo garantisce che anche in presenza di una inversione di momento l’area di acciaio sia disposta nel modo più conveniente da un punto di vista statico.

 Dopo aver ultimato il ciclo e quindi aver determinato il quantitativo minimo di acciaio, il programma esegue alcune verifiche finali.

 E’ teoricamente possibile che dopo aver incrementato l’area e scambiato le posizioni tra area tesa e compressa la verifica risulti non più soddisfatta per alcune combinazioni. In questo caso il programma dà un messaggio di errore e chiede di modificare il rapporto tra armatura compressa ed armatura tesa. E’ chiaro che ciò non può avvenire se tale rapporto è pari ad 1.

_bm19

Definizione del coefficiente di sfruttamento

 

 E’ possibile che la combinazione che comporta il maggior sfruttamento (questo è definito come rapporto tra la distanza del punto di sollecitazione P di coordinate M, N, dall’origine e la distanza del punto A dall’origine essendo A corrispondente all’intercetta del raggio PO sul dominio limite: e = OP/OA) non soddisfi i criteri di rottura duttile: anche in questo caso il programma dà un messaggio di errore.

 

 Una volta noto il diagramma che, coerentemente con le impostazioni date dall’utente, fornisce il quantitativo minimo di area di acciaio che si deve disporre al positivo ed al negativo, è possibile valutare il numero dei ferri da disporre e la loro lunghezza, in modo da fornire un diagramma a gradoni che indichi l’area effettiva dei ferri, tale da ricoprire quello di area minima.

 Il programma esegue un calcolo per differenza: stabilita l’area che corrisponde all’armatura longitudinale corrente superiore ed inferiore, il programma valuta l’area aggiuntiva da disporre per ottenere l’are minima. Da questa, mediante un calcolo discreto, stabilisce il numero dei tondini di armatura secondaria (il cui diametro è stato prefissato dall’utente) necessari a ricoprire il diagramma di area minima. Il programma cerca di ottimizzare il numero dei tondini di armatura secondaria in modo tale da mantenere il più vicino possibile il diagramma di area resistente al diagramma di area minima.

 Questo ultimo diagramma varia in funzione delle impostazioni date dall’utente. In particolare, variando il diametro della armatura secondaria ed il fattore che amplifica le sollecitazioni applicate (mediante il comando Imposta), è in generale possibile ottenere una pluralità di possibili proposte per l’armatura. Queste proposte costituiscono la base di partenza dalla quale il progettista deve muovere, completandole con le informazioni aggiuntive in merito alle lunghezze di ancoraggio, gli uncini, eccetera.

 

 Nella determinazione della area minima il programma tiene anche in conto le limitazioni sulla percentuale di armatura (minima e massima), che in generale variano in funzione del tipo di elemento costruttivo e della norma. Nella seguente tabella, relativa al quantitativo minimo di acciaio, d è l’altezza utile, bt è la larghezza media della zona tesa, fyk è la tensione di snervamento caratteristica e fctm è la resistenza a trazione media del calcestruzzo

 

ELEMENTO

 NTC 2008

 Eurocodice 2

TRAVE

 _bm20

 _bm21

PILASTRO

 _bm22

 _bm23

Quantità minime di armatura longitudinale

 

Il quantitativo massimo di area di acciaio deve essere il seguente, eguale per NTC 2008 ed  Eurocodice 2:

 

ELEMENTO

 NTC 2008

 Eurocodice 2

TRAVE

 ,04Ac

 ,04Ac

PILASTRO

 ,04Ac

 ,04Ac

Quantità massime di armatura longitudinale

 

Progetto/verifica agli SLU per tensioni tangenziali

 

Il progetto/verifica per le tensioni tangenziali (ovvero per il taglio dato che nei modelli piani non v’è torsione), segue le stesse linee guida già viste per il progetto/verifica per tensioni normali.

In primo luogo il programma determina un’area minima di acciaio da disporre come staffatura (comando Min A-T), sulla base di questa determina poi il passo delle staffe dato il loro diametro (scelto dall’utente) ed il numero dei loro bracci (anche scelto dall’utente).

Nella determinazione dell’area minima per le staffe il programma tiene conto delle disposizioni contenute in EC2/NTC 2008 in merito al taglio portato in assenza di armatura a taglio, e delle disposizioni in merito alla area minima. Nel valutare il taglio portato in assenza di area minima il programma calcola la percentuale di armatura longitudinale, in una data sezione, scegliendo l’acciaio posto sopra o sotto a seconda del segno del momento flettente. L’area di acciaio tenuta in conto nel fare il calcolo della percentuale di armatura è scelta nelle Impostazioni, dove si può scegliere se usare l’area longitudinale minima (comando Min A-NM) o l’area longitudinale progettata dal programma (comando Diagramma Barre). I risultati ovviamente cambiano: tenuto conto che l’area minima ha una funzione fondamentalmente informativa, se si sceglie di adottare l’armatura proposta dal programma la impostazione più corretta da dare sarebbe “Usa area longitudinale di progetto”, nel dialogo Staffe del comando C.A.-Imposta. E’ chiaro che l’armatura a taglio andrebbe esaminata dopo aver deciso quella longitudinale.

 

 Il programma dapprima calcola la percentuale di armatura longitudinale rl, tenendo un massimo del 2%. Poi viene calcolato il taglio massimo sopportabile in assenza di armatura secondo la formula:

_bm24

dove

_bm25

essendo d l’altezza utile in mm, bw la larghezza minima della zona compresa tra il corrente teso e quello compresso.

 Se il taglio applicato nella generica sezione e nella generica combinazione è inferiore a questo valore di taglio VRd,c, allora l’armatura minima (che ha le dimensioni di un’area per unità di lunghezza) è calcolata con la seguente formula (cfr. 9.5N, par. 9.2.2):

_bm26

 In caso contrario il programma calcola l’area di acciaio minima per unità di lunghezza, verificando, altresì, che la dimensione della sezione sia accettabile, ovvero verificando la eventuale crisi delle bielle di calcestruzzo compresso.

 Questa ultima verifica è realizzata controllando che

_bm27

Il termine v1 è diverso tra NTC 2008 ed Eurocodice 2, secondo la seguente tabella:

 

NORMA

 NTC 2008

 Eurocodice 2

v1

 ,5

 _bm28

Valori del coefficiente v1

 

Il valore v1=0,5 proposto dalle NTC 2008 coincide con quello indicato dall’Eurocodice 2 per fck=41,66MPa. Il NAD dà una ulteriore formula, identica a quella di EC2 pur di sostituire a 0,6 il numero 0,7.

Il termine z è il braccio della coppia interna (posto eguale a 0,9d dal programma ed anche eguale a 0,9d nelle NTC 2008),  ed acw determinato dalle seguenti disequazioni:

se scp = 0                                                                acw=1

se 0 < scp = 0,25fcd                                                                acw=1+ scp / fcd

se 0,25fcd < scp = 0,50fcd                                acw=1,25

se 0,50fcd < scp = 1,0fcd                                acw=2,5(1- scp / fcd)

 

dove scp è la tensione di compressione dovuta alla sola azione assiale, valutata calcolando l’area totale del calcestruzzo più quella dell’acciaio omogeneizzata. Nel caso di travi semplicemente inflesse, la verifica della biella compressa in accordo alle NTC 2008 si può scrivere:

_bm29

Se la verifica a taglio-compressione non è soddisfatta il programma dà un messaggio di errore. In caso contrario il calcolo dell’area delle staffe viene fatto mediante la seguente formula:

_bm30

Dove fywd è la tensione di progetto dell’acciaio delle staffe, in pratica fyd, e q è l’angolo di inclinazione delle bielle di calcestruzzo compresso, valutato mediante la seguente formula, ove esso figura come incognita, nella quale si eguaglia la componente di schiacciamento delle bielle di calcestruzzo a quanto per equilibrio proviene a causa del taglio applicato:

_bm31

ovvero

_bm32

Dove se dovesse risultare

_bm33

allora si pone

_bm34

In modo che cot(q)=2,5.

Se viceversa dovesse risultare

_bm35

allora si pone

_bm36

 

Una volta determinata l’area minima, nota l’area della barra usata per le staffe Asw,1 ed il numero di bracci nb, è possibile calcolare il passo delle staffe stesse, s, mediante la seguente semplice formula:

_bm37

Il passo calcolato in questo modo deve essere ulteriormente confrontato con il passo minimo che le staffe devono avere in accordo alla norma. L’Eurocodice 2 ha a riguardo delle prescrizioni diverse, come valore suggerito, rispetto a quelle delle NTC 2008. Inoltre il passo massimo varia a seconda che l’elemento sia o meno un pilastro. Nella seguente tabella sono riepilogati i passi massimi in accordo ad Eurocodice 2 ed a NTC 2008 (d è l’altezza utile e fmin il diametro minimo delle barre longitudinali):

 

ELEMENTO

 NTC 2008

 Eurocodice 2

TRAVE

 Min{333mm, 0,8d}

 Min{300, 0,75d}

PILASTRO

 Min{250mm, 12fmin}

 Min{400mm, 20 fmin, H, B}

Passi minimi per le staffe

 

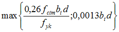
Il quantitativo minimo di area di acciaio per unità di lunghezza deve inoltre rispettare le seguenti limitazioni, rispettivamente di NTC 2008 e di Eurocodice 2:

 

ELEMENTO

 NTC 2008

 Eurocodice 2

TRAVE

 .0015 bw

 _bm38

PILASTRO

 -

 -

Area minima di acciaio per unità di lunghezza, staffe (astir,min)

 

 Nelle formule precedenti bw è in mm e le tensioni in MPa.

 

Si noti che anche se non vi sono formule esplicite per astir,min relative ai pilastri, la presenza di limitazioni sul diametro e sul passo di fatto le introduce. Ad esempio una staffa a due bracci di diametro 6mm ogni 333mm equivale ad astir = 0,169mm2/mm.

 

Per i pilastri il diametro minimo delle staffe deve essere il massimo tra 6mm ed ¼ del diametro massimo delle barre longitudinali, e ciò sia secondo le NTC 2008 sia secondo l’Eurocodice 2, ove questa condizione non sia soddisfatta il programma dà un messaggio di avviso.

 

Verifiche agli SLE

 

Le verifiche agli stati limite ultimi vengono eseguite dal programma sulle combinazioni appositamente preparate a questo scopo.  Le combinazioni caratteristiche sono riconosciute dal programma in quanto il loro nome incomincia per “SLE_CA”, mentre le combinazioni quasi permanenti sono riconosciute dal programma in quanto il loro nome incomincia per “SLE_QUA”.

Le verifiche agli stati limite di esercizio sono essenzialmente di tre tipi:

·        Limitazione delle tensioni (verifiche sforzi)

·        Limitazione delle fessurazioni (verifiche fessurazione)

·        Limitazione della inflessione (verifiche deformabilità)

 

Il programma esegue in modo automatico le verifiche sulla limitazione delle tensioni e il calcolo di ampiezza della fessura, rapportandola a quella massima specificata dall’utente. Per quanto riguarda le verifiche di deformabilità, queste devono essere eseguite dall’utente sulla base dei rapporti luce/altezza degli elementi. L’approccio più “rigoroso” consisterebbe nell’eseguire complicati calcoli che, modificando la curvatura per tener conto dell’”effettivo” momento di inerzia delle sezioni fessurate, e dell’”effettivo” modulo di elasticità del calcestruzzo che tenga conto della viscosità, dia luogo ad una deformata maggiore di quella elastica ideale, ottenuta con il modulo elastico istantaneo ed il momento di inerzia della sezione lorda di calcestruzzo. Se non che, a parere di chi scrive, il rigore di questi calcoli è completamente illusorio, essendo questi calcoli al più in grado di determinare un valore di massima per la deformata in questione. Si pensi alle incertezze relative a tutti i parametri di calcolo, e si potrà ben comprendere che le incertezze derivanti da queste imprecisioni iniziali elidono ampiamente la presunta precisione del calcolo. Sembra quindi molto più logico eseguire delle verifiche semplificate (perché dichiaratamente conscie delle incertezze in gioco), piuttosto che inseguire con procedure di calcolo apparentemente precise precisioni che sono, semplicemente, irraggiungibili. Sotto questo profilo molto sarebbe ancora da fare per mettere a disposizione dei progettisti procedure semplici ed a favore di sicurezza che, senza avere la assurda pretesa di calcolare esattamente cose che non si possono calcolare, diano invece rapidi ed efficienti fattori correttivi rispetto alle frecce elastiche normalmente calcolate.

Le verifiche allo stato limite ultimo possono essere eseguite con il comando SLE! a patto che siano rappresentate le barre di armature di progetto (ovvero deve essere correntemente rappresentata la armatura di progetto, con i ferri effettivamente prescelti dal programma sulla base delle impostazioni dategli). Ciò perché le verifiche di fessurazione hanno bisogno di conoscere l’effettivo diametro delle barre presenti, al fine di eseguire il controllo sulla ampiezza di fessura. Inoltre, se viene richiesto il tabulato, questo conterrà o meno le verifiche agli SLE a seconda che il comando sia stato dato avendo rappresentata l’area minima (file modello.sdc.Amin.txt) o l’area delle barre di progetto (file modello.sdc.Ades.txt).

Nel seguito si darà conto delle verifiche eseguite dal programma sia per la limitazione delle tensioni sia per la ampiezza delle fessure.

 

Limitazione delle tensioni

 

La verifica alla limitazione delle tensioni è eseguita quasi allo stesso modo dall’Eurocodice 2 e dalle NTC 2008. Il calcolo viene eseguito in regime fessurato, con la stessa metodologia impiegata nei calcoli alle tensioni ammissibili, vale a dire impiegando il coefficiente di omogeinizzazione m e legami costitutivi elastici lineari. In pratica occorre verificare che la tensione di compressione nel calcestruzzo sc soddisfi le seguenti limitazioni:

_bm39

nella combinazione di carico caratteristica (rara) e

_bm40

nella combinazione di carico quasi permanente. Le NTC usano il limite 0,6fck sempre, mentre l’Eurocodice 2 lo usa solo nel caso di esposizione ad ambienti aggressivi di tipo XD, XF ed XS.

 Alle verifiche sul calcestruzzo si sommano le verifiche sulle tensioni nell’acciaio ss, che non deve superare la seguente limitazione

_bm41

nelle combinazioni di carico caratteristiche. Se nella combinazione di carico caratteristica allo studio esiste un caso di carico etichettato come “TERMICO”, allora il limite di 0.8 è incrementato a 1.

 Il programma, per ogni sezione di campionamento dei diagrammi, calcola le tensioni nel calcestruzzo e nell’acciaio secondo il metodo elastico, nelle combinazioni di tipo quasi permanente e nelle combinazioni di tipo caratteristico. Poi esegue un confronto con le tensioni limite precedentemente definite, calcolando uno “sfruttamento” dato dal rapporto tra le tensioni effettivamente presenti e le tensioni limite, nelle combinazioni pertienenti. Il fatto che questo sfruttamento risulti minore di 1 è condizione necessaria e sufficiente alla esecuzione delle verifiche allo SLE per limitazione delle tensioni.

 

Ampiezza delle fessure

 

Il calcolo della ampiezza delle fessure viene eseguito dal programma in due modi diversi a seconda che si usino le NTC 2008 o l’Eurocodice 2. Non è chiara la ragione per cui, nelle NTC 2008, non si sia voluto uniformare il calcolo e le prescrizioni a quanto contenuto nella versione EN dell’Eurocodice 2. In effetti la formulazione presente nelle NTC 2008 ricalca di fatto la formulazione già presente del D.M. del 1996 e la formulazione proposta nella versione ENV della norma.

 La versione EN dell’Eurocodice 2 consente di calcolare la ampiezza delle fessure mediante la formula 7.8 seguente:

_bm42

I due fattori che danno luogo alla apertura di fessura sono a loro volta calcolati con le formule seguenti:

_bm43

_bm44

 

Nella prima formula:

·        ss è la tensione nell’acciaio teso, calcolata in regime fessurato con un modello elastico lineare e impiegando il coefficiente di omogeinizzazione m;

·        fct,eff è il valor medio della resistenza a trazione efficace del calcestruzzo, di fatto si prende di solito fctm;

·        Es è il modulo di elasticità dell’acciaio (200000MPa);

·        rp,eff è il rapporto tra l’area di acciaio tesa e l’area di calcestruzzo tesa _bm45. Questa ultima area Ac,ef è data dalla larghezza della zona tesa b moltiplicata per una altezza di calcestruzzo teso hc,ef attorno alle barre, valutata dal programma come

hc,ef = min{2,5(h-d); (h-x) / 3; h / 2}

essendo x la estensione di calcestruzzo compresso, h l’altezza totale e d la altezza utile della sezione.

La seconda formula è usata quando la spaziatura delle barre supera 5(c+f/2), essendo c il copriferro e f il diametro delle barre longitudinali. Negli altri casi, se le barre sono sufficientemente vicine, allora si usa la terza formula.

Nella terza formula:

·        c è il copriferro;

·        si è ipotizzato che le barre abbiano aderenza migliorata come ormai avviene sempre;

·        il termine k2 tiene conto della distribuzione delle deformazioni, variando da 0,5 in flessione pura a 1 in trazione pura. In caso di presso flessione (che non esclude la fessurazione) il termine dovrebbe ragionevolmente essere inferiore a 0,5 ma questo caso non è contemplato dalla norma. Salvo il caso di aste tese, è a favore di sicurezza porre k2 = 0,5. Se è presente una trazione il programma pone k2=1. Altrimenti pone k2=0,5.

·        il coefficiente 0,425 è quello suggerito dalla norma;

·        il diametro equivalente feq viene calcolato con la seguente formula:

_bm46

Dove n1 e f1 si riferiscono alla armatura primaria, mentre n2 e f2 si riferiscono a quella secondaria, superiore o inferiore a seconda di quale sia la zona tesa.

·        infine, rp,eff è già stato definito.

 

I calcoli corrispondenti alle formule indicati sono eseguiti in modo automatico dal programma nella combinazione quasi permanente: in ogni sezione è calcolato x (mediante le formule opportune, quadratiche o cubiche a seconda dei casi) e tutte le altre grandezze, pervenendo ad una stima della apertura della fessura.

 

 Le verifiche in accordo alle NTC 2008 seguono una formulazione differente, in sostanza quella della versione ENV dell’Eurocodice 2. In pratica viene calcolata una apertura di fessura media wm che poi viene amplificata con un coefficiente pari a 1,7 per ottenere il valore di calcolo. Risulta in particolare (punto 4.1.2.2.4.6 delle NTC 2008):

_bm47

Dove esm è la deformazione media e Dsm è la distanza media tra le fessure.

Le NTC 2008 non entrano nel dettaglio di come si debbano calcolare i termini esm e Dsm, rimandando a “criteri consolidati riportati nella letteratura tecnica”. Nella versione ENV dell’Eurocodice 2 sono reperibili le seguenti formule, che sono adottate dal programma CESCO CONCRETE:

_bm48

_bm49

La seconda formula dà una lunghezza in mm. Questa formula è molto simile a quella già vista nella formulazione della versione EN, ed in particolare hanno il medesimo significato tutti i simboli impiegati sia nella seconda che nella prima formula appena introdotte, rispetto a quelle già viste per la versione EN dell’EC2. Il numero 0.5 nella prima formula è associato a carichi di lunga durata. Il numero 0.8 nella seconda formula a barre ad aderenza migliorata. L’unico termine che resta da definire è la tensione ssr, che rappresenta “la tensione nella armatura tesa calcolata nella sezione fessurata nella condizione di carico che induce la prima fessura” (par. 4.4.2.4. ENV-1992-1-1). Questa tensione può essere calcolata, data la linearità,  come p volte la tensione ss, dove p è uno scalare minore di 1 calcolato in modo tale che (pN, pM) provochi la prima fessurazione sulla sezione. Assumendo una sezione con calcestruzzo interamente reagente, e coefficiente di omogeinizzazione pari a m, si tratta di valutare p in modo che al lembo teso il calcestruzzo raggiunga la tensione di trazione fctm. Se Jeq è il momento di inerzia della sezione omogeneizzata e d la distanza del lembo teso dal baricentro, Aeq è l’area omogeneizzata, si ha:

_bm50

 Calcolato p dalla equazione precedente si ha:

_bm51

In questa equazione va osservato che il programma pone

_bm52

quando non vi è trazione o quando la trazione applicata è inferiore a fctm.