Come... Eseguire le verifiche di strutture in acciaio

Top  Previous  Next

Generalità

 

Dalla versione 3.0 CESCO PLUS è collegato a tre verificatori esterni in accordo alle norme CNR 10011 alle tensioni ammissibili, agli stati limite, ed in accordo a Eurocodice 3.

 

I verificatori verificano solo le combinazioni, non i casi di carico base.

I verificatori verificano solo le aste selezionate al momento della esecuzione del comando che lancia le verifiche (comando Verifica!).

I verificatori creano un tabulato di output, in formato ASCII, che ha le seguienti estensioni:

 

.CS1.cit                                per il verificatore in accordo alle norme CNR alle tensioni ammissibili

. CS1.c2i                                per il verificatore in accordo alle norme CNR agli stati limite

. CS1.eit                                per il verificatore in accordo alle norme Eurocodice 3 o NTC acciaio

 

Questi verificatori sono gli stessi impiegati in un contesto 3D dal software di calcolo SARGON, vasto programma sviluppato da Castalia s.r.l. ed avente per oggetto proprio le strutture in acciaio.

 

Nel seguito verranno fornite indicazioni dettagliate relativamente ai tre verificatori. Queste informazioni sono desunte dalla documentazione di Sargon, si tenga presente che, essendo CESCO PLUS un programma piano, le aste non hanno 6 componenti di sollecitazione, ma 3. In particolare (N,M,T) in Cesco corrispondono a (N, M2, T3) in Sargon. Le azioni interne Mt, M3, T2 sono da considerarsi identicamente nulle: lo si tenga presente nel leggere la documentazione.

 

Prima di entrare nel dettaglio, verrano date delle indicazioni di carattere generale, indispensabili per operare correttamente con i verificatori.

 

Benchè le azioni interne fuori piano siano nulle, CESCO assume che sia possibile lo sbandamento delle aste fuori dal piano del disegno. Allo stesso modo è possibile lo svergolamento delle aste inflesse. CESCO governa il comportamento ad instabilità nel piano, fuori piano e lo svergolamento, mediante i coefficienti di libera inflessione b.

 

Il coefficiente di libera inflessione b1 è correlato allo svergolamento;

Il coefficiente di libera inflessione b2 è correlato allo sbandamento per compressione o pressoflessione nel piano dello schermo;

Il coefficiente di libera inflessione b3 è correlato allo sbandamento per compressione o pressoflessione fuori dal piano dello schermo (in direzione normale allo schermo).

 

In effetti, il problema della instabilità è un problema intrinsecamente 3D e non è riconducibile a schemi piani se non a prezzo di pericolose ipotesi semplificative.

 

E’ compito dell’analista impostare il comportamento ad instabilità delle aste mediante la assegnazione di opportuni valori ai tre coefficienti di libera inflessione. Non è possibile in modo attendibile alcun automatismo relativamente ai coefficienti di libera inflessione, in quanto i sistemi proposti in letteratura (abachi di Wood, Alignment Charts) NON sono attendibili in un contesto generale.

 

Se si intende inibire l’instabilità in una certa direzione è sufficiente assegnare al corrispondente coefficiente di libera inflessione il valore 0.

 

Un’ulteriore importante insieme di osservazioni riguarda l’uso delle membrature. In CESCO PLUS le operazioni di divisione o di interruzione di un elemento non comportano perdita di informazione relativamente alla membratura: la membratura resta quella originariamente introdotta nelle fasi iniziali del meshing (ogni ramo una membratura).

 

Siccome la verifica a stabilità dei singoli rami può essere priva di senso, quando esistono più rami allineati, i verificatori consentono di verificare, accanto ai singoli rami, anche le membrature (superelementi nella terminologia di Sargon). Nell’eseguire le verifiche occorre specificare se si vogliono usare o meno le informazioni relative alle membrature (comando Impostazioni). Se non si usano queste informazioni verranno verificati a resistenza e stabilità solo i rami (elementi finiti), non gli insiemi di rami. Se si usano, oltre alle verifiche precedenti verranno eseguite le verifiche delle membrature a stabilità.

 

E’ compito dell’analista accertarsi che le membrature siano correttamente state definite (chiedendone la numerazione) e che i coefficienti di libera inflessione ad esse attribuiti siano corretti. Se le membrature non risultano definite correttamente occorre cancellare gli elementi e riaggiungerli, tenendo presente quanto segue:

-        in origine ogni ramo rappresenta una membratura distinta;

-        se un ramo viene diviso o interrotto (anche a causa dell’intersezione con un altro ramo sopraggiunto in seguito) i sottorami restano appartenenti a una stessa membratura;

-        se si cancellano aste intermedie, le informazioni sulla membratura originaria si perdono e dovranno essere ridefinite.

L’unco modo per esaminare le membrature presenti nel modello è quello di chiedere la numerazione delle stesse, in quanto al momento non vi sono comandi espliciti, in CESCO PLUS, per la gestione delle membrature.

 

 I verificatori automatici consentono di avere un importante aiuto in fase di progettazione e verifica ma non sollevano il progettista dalla responsabilità di controllare la sua struttura in ogni dettaglio, ciò in quanto i verificatori automatici non possono verificare tutto l’insieme completo di cose che è necessario verificare. Particolare attenzione dovrà essere osservata all’idebolimento delle sezioni a causa dei fori, agli effetti locali di punzonamento o distorsione o imbozzamento sotto carichi locali, e così via.

 

 

 

Verifiche in accordo a CNR 10011 TA

 

 

Verifiche automatiche

         Sono stati implementati i seguenti paragrafi e capitoli relativi alle norme CNR 10011/88:

 

Cap                1

Cap                2: 2.1, 2.2, 2.8, 2.9

Cap                3: 3.1, 3.3

Cap                4: 4, 4.1

Cap                6: 6.1, 6.2, 6.3, 6.4, 6.5, 6.5.1, 6.5.2, 6.6, 6.7

Cap                7: 7.1, 7.2.1, 7.2.2, 7.2.3.1, 7.2.3.2, 7.2.3.2.1, 7.2.3.4.2, 7.2.6.1, 7.2.6.2,

         7.3.2, 7.3.2.1, 7.3.2.2, 7.3.2.2.1, 7.3.2.2.2, 7.4.1, 7.4.1.1, 7.4.1.2, 7.4.2

 

Nell'uso di CESCO, con riguardo alle CNR, si tenga presente quanto segue, con riferimento ai paragrafi indicati:

 

par 3.3.2, affinchè il programma assuma (automaticamente) la tensione ammissibile di verifica di condizione II (x 1.125), è necessario e sufficiente che una (o più) condizioni base, siano del tipo VENTO, SISMA o TEMPERATURA. Se la combinazione di verifica contiene almeno una condizione dei tipi precedenti il programma assume che la combinazione sia di tipo II, e quindi amplifica la tensione ammissibile. Se non si vuole questa amplificazione è sufficiente cambiare l’etichetta delle condizioni di carico in modo che non ve ne sia alcuna dei tipi elencati più sopra.

 

par 4.1.1, il programma, per poter funzionare anche con materiali diversi da quelli previsti dalle CNR 10011/85 (ovvero per esempio materiali esteri), assume per il calcolo della tensione ammissibile un algoritmo in forma chiusa reperibile nelle norme CNR 10029/85 par. 3. Per questo motivo sono da attendersi piccoli scarti rispetto alle tensioni nominali di normativa CNR 10011/85 (ad esempio per Fe360, la sigma risulta di 156,6 N/mmq anzichè 160 N/mmq).

 

cap 7, verifiche a stabilità. L'azione assiale tenuta in conto quando si eseguono le verifiche a stabilità è la massima azione di compressione rilevata sull'asta, con la risoluzione data dal numero di sezioni richiesto. Tale assunzione è a favore di sicurezza in assenza di alcuna determinazione da parte delle norme.

 

par 7.2.2.1.1, determinazione di b. È compito dell'utente attribuire alle aste il giusto coefficiente b; per default il programma assume il valore 1.

 

par 7.2.3, nel caso di aste composte a correnti ravvicinati, il programma assume un l1 = 50 o 40 a seconda del tipo di acciaio. Valori di l1 superiori non sono comunque ammessi dalle norme per profili abbottonati (par 7.2.3.4.2). Per profili calastrellati il programma assume l1 = 50 o 40 a seconda del tipo di acciaio anche se la norma, in tal caso, consente l1 superiori. È compito dell'utente evitare l1 superiori a 50 o 40 anche per profili calastrellati.

 

par 7.2.6, È compito dell'utente sincerarsi che i profili scelti verifichino le limitazioni ai rapporti larghezza spessore.

 

par 7.3.2., la verifica allo svergolamento secondo quanto previsto dalle formule di questo paragrafo viene applicata, secondo la norma, agli stati di sollecitazione di flessione pura. Nel caso di pressoflessione, a queste formule si affianca la 7.4.2.. CESCO PLUS esegue, infatti, i calcoli in 7.4.2. solo se v'è una compressione. I calcoli in 7.3.2. vengono invece svolti in ogni caso. Se è presente una tenso-flessione, e si è nei casi coperti dal par. 7.3.2.2.1. la trazione viene trascurata, a favore di sicurezza. Se invece è presente una tensoflessione e si deve applicare la 7.3.2.2.2., dato lo spirito diverso del metodo, la trazione viene tenuta in conto per valutare l'effettiva Neq.

 

par 7.4.1.1, la formula per il calcolo del momento equivalente Meq = 0.6Ma - 0.4Mb può essere assunta se vi è una distribuzione di momento lineare e se l'asta è "vincolata ad entrambi gli estremi". Mentre la prima condizione è verificata automaticamente da CESCO PLUS, la seconda condizione richiede delle convenzioni. CESCO PLUS assume che gli estremi siano vincolati, ovvero che l'asta appartenga ad una sottostruttura a vincoli fissi, se b risulta <= 1. Se b è > 1, anche nel caso in cui la distribuzione di momento sia lineare, CESCO PLUS non assume applicabile la formula predetta. Per b si intende

b = max (b2, b3)

par 7.4.1., se nella verifica a pressoflessione di una trave la quantità posta a denominatore delle formule

 

_bm53

 

diventa negativa, le formule stesse perdono valore. In tal caso il coefficiente di sfruttamento viene convenzionalmente posto eguale a 99.

 

Membrature

 

Per ciò che attiene alle caratteristiche adottate nelle verifiche a pressoflessione ed a svergolamento dei par. 7.4.1. e 7.4.2, queste sono quelle della sezione di area minima incontrata esaminando le aste costituenti.

Relativamente alle verifiche su membrature, va rilevato che affinchè queste abbiano significato, la membratura deve essere costituito da aste con identica sezione, identicamente orientate: le norme infatti non dicono alcunchè su tali verifiche nel caso in cui il profilo vari sull'asta.

 

Verifiche utente

Generalità

         Cesco PLUS consente di eseguire parte delle verifiche secondo regole stabilite dall’utente. Questa importante funzionalità è destinata a risolvere due problemi distinti:

 

1)                La necessità di poter eseguire le verifiche anche su sezioni non coperte dal verificatore automatico;

1)                La opportunità di scegliere gli algoritmi di verifica in modo più aderente alla situazione specifica o alle necessità peculiari o alle personali convinzioni del progettista.

Si pensi ad esempio al calcolo delle tensioni tangenziali dovute al taglio: non esiste una teoria di riferimento unica, alcuni applicano la formula di Jourawskij, altri preferiscono ripartire uniformemente il taglio sugli elementi resistenti.

0                Il programma che esegue le verifiche si comporta in modo diverso a seconda che l’elemento da verificare sia dotato di una sezione standard o di una sezione utente.

1                Se l’elemento ha una sezione standard esso verrà verificato secondo le regole implementate all'interno del programma, se invece esso ha una sezione non standard allora verrà verificato in accordo alle regole stabilite dall’utente. Per poter decidere se una sezione è standard o no il programma confronta il nome della sezione (spazi e maiuscole-minuscole incluse) con l’elenco delle sezioni utente contenuto nel file cnrdata.txt. Se la sezione compare tra quelle utente allora verrà verificata secondo le regole dell’utente, in caso contrario verrà verificata dal programma. Alcuni tipi sezionali non vengono verificati se non come profili utente. Questi tipi sono: sezioni generiche, sezioni composte generiche, sezioni formate a freddo generiche o dei tipi previsti (a Z, a C, a omega, ad L). Per le sezioni formate a freddo il verificatore secondo le 10011 non è in ogni caso adeguato e si raccomanda invece di usare il verificatore 10011-10022.

 

Superset alle norme CNR10011

 

         0                Per poter spiegare ad un computer il modo nel quale eseguire le verifiche automatiche di una sezione o di un elemento in accordo ad una data norma è necessario poter definire regole chiare ed inequivoche atte a trattare il problema in modo generale.

         1                La maggior parte delle norme non sistematizza il problema sino a definire in maniera chiara ed inequivoca il modo in cui comportarsi in generale. Il più delle volte si tratta di regole previste in accordo a tabelle di tipi e prive di una validità generale.

         2                Definiamo “superset” di una certa norma un certo insieme di regole con opportuni parametri, da usare in casi generali non previsti esplicitamente dalla norma stessa, e capaci di essere ricondotte ai casi previsti pur di scegliere in modo opportuno i parametri stessi.

         3                Per essere accettabile un superset deve contenere le formule di normativa come caso particolare.

         4                Castalia ha elaborato e concepito un particolare superset alle norme CNR10011 che è stato implementato nel verificatore secondo le CNR10011 in modo da consentire all’utente sia di verificare sezioni arbitrariamente complesse, sia di personalizzare le regole di verifica sulla base delle proprie esigenze progettuali. Qui di seguito si dà chiarimento delle regole introdotte.

 

Verifiche di resistenza

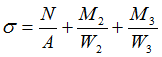
         Nelle norme alle TA le verifiche di resistenza comportano la valutazione dello stato di sforzo in vari punti della sezione. Per le CNR10011 lo sforzo da valutare è quello di Von Mises, che combina completamente la tensione normale e quella tangenziale. Supponendo di riferire la sezione ai suoi assi principali, in ogni punto rilevante occorre calcolare la terna (s, t2, t3), per poi valutare

_bm54

         Mentre per il calcolo della tensione normale è tutto facile, perchè si possono facilmente valutare i moduli di resistenza in ogni punto, per le tensioni tangenziali originate dal momento torcente M1 e dai due tagli T2 e T3 il discorso è più complesso, in quanto non è sempre immediata e disponibile una teoria semplificata da usare per la sezione in esame. Nè è pensabile risolvere un sistema di equazioni differenziali alle derivate parziali per procedere. Introduciamo pertanto  delle regole semplificate per il calcolo di t2 e di t3 . Precisamente poniamo:

_bm55

_bm56

_bm57

dove (N, T2, T3, M1, M2, M3) è la sestupla con le sollecitazioni (di queste sono nonnulle solo N, M2 e T3) e:

 

0                A                                area della sezione

1                W2                                modulo di resistenza per calcolare la s dovuta a M2.

2                W3                                modulo di resistenza per calcolare la s dovuta a M3.

3                A22                                modulo di resistenza per calcolare la t2 dovuta a T2.

4                A32                                modulo di resistenza per calcolare la t2 dovuta a T3.

5                W12                                modulo di resistenza per calcolare la t2 dovuta a M1.

6                A23                                modulo di resistenza per calcolare la t3 dovuta a T2.

7                A33                                modulo di resistenza per calcolare la t3 dovuta a T3.

8                W13                                modulo di resistenza per calcolare la t3 dovuta a M1.

 

         0                Tutti i moduli ad eccezione di A variano da punto a punto sulla sezione. Tutti i moduli ad eccezione di A possono avere segno positivo o negativo, dando luogo a tensioni con segno positivo o negativo.

 

Verifiche a pressoflessione

 

         0                Le verifiche a pressoflessione vengono implementate secondo la formula del par. 7.4.1.2..I moduli di resistenza W2 e W3 sono quelli minimi in valore assoluto. Il valore di w viene valutato mediante la curva di stabilità specificata dall’utente con il parametro nbc, che può valere 1, 2, 3 o 4 a seconda che la curva prescelta sia la ”a”, la “b”, la “c” o la “d” della norma.

         1                Nel caso in cui l’asta sia composta è necessario aggiungere una snellezza l1 (cfr. par 7.2.3) sia alla snellezza secondo l’asse 2 che alla snellezza secondo l’asse 3. Occorrono pertanto due parametri liberi, che sono i parametri l12 e l13. Valgono le regole previste dalle norme:

_bm58

_bm59

 

Verifiche a svergolamento

 

         0                Il comportamento a svergolamento (par. 7.3) viene tenuto in conto dando una regola generale per il calcolo del fattore w1. Occorre inoltre tenere in conto che lo svergolamento può in generale avvenire sia a causa del momento M2 che a causa del momento M3, e non solo a causa di M2 (come implicitamente previsto dalle norme, che tabellano i casi di sezioni ad H, a T, a C, eccetera. Si pensi ad una sezione a croce ottenuta saldando due mezze I sull’anima di una sezione ad H: essa può svergolare sia a causa di M2 che a causa di M3).

         1                Il valore di w1 dipende sia dalla forma della sezione che dalla sua snellezza. Poniamo per lo svergolamento sotto M2:

_bm60

_bm61

grazie alla curva di stabilità c

_bm62

_bm63

         Per lo svergolamento sotto M3 poniamo:

_bm64

_bm65

grazie alla curva di stabilità c

_bm66

_bm67

 

0                Le quantità in grassetto, i12 e kom12 sono i due parametri necessari ad individuare il comportamento sotto l’azione del momento M2, altri due parametri sono necessari per individuare il comportamento sotto l’azione del momento M3, essi sono i13 e kom13.

         1                La formula che tiene in conto degli effetti combinati, par. 7.4.2.,

_bm68

viene generalizzata nel seguente modo:

_bm69

 

Se i parametri i12 , kom12  oppure i13 e kom13 vengono forniti eguali a zero il valore di w1 viene posto eguale a 1.

 

 

Il file cnrdata.txt

 

         0                Nel direttorio di installazione del programma è presente il file ASCII “cnrdata.txt”, il quale elenca tutte le forme sezionali da verificarsi secondo le regole utente. E’ compito dell’utente mantenere ed aggiornare questo file in modo da ottenere i risultati voluti.

$$$$$$$$$$$$$$$$$$$$$$$$$$$$$$$$$$$$$$$$$$$$$$$$$$$$$$$$$$$$$$$$$$$$$$$$$$$$$$$$$$$$$$$$$$$$$

$                                    CNR  10011                                             $

$        ARCHIVIO SEZIONI SPECIALI DA VERIFICARSI SECONDO REGOLE DELL'UTENTE                $

$                             Cesco  - Copyright Castalia s.r.l. 1998-1998                    $

$ file version 1.0                                                                          $

$$$$$$$$$$$$$$$$$$$$$$$$$$$$$$$$$$$$$$$$$$$$$$$$$$$$$$$$$$$$$$$$$$$$$$$$$$$$$$$$$$$$$$$$$$$$$

$                                                                                           $

$   NOME           nome della sezione (max 20 caratteri)                                    $

$   nptck          numero di punti in cui eseguire il check di resistenza sulla sezione     $

$   nbc            numero della curva di buckling (a=1, b=2, c=3, d=4)                      $

$   i12            raggio di inerzia da usare per la verifica a svergolamento (M2)          $

$   i13            raggio di inerzia da usare per la verifica a svergolamento (M3)          $

$   kom12          fattore pari a omega1 / omega(lambda1) per svergolamento sotto M2        $

$   kom13          fattore pari a omega1 / omega(lambda1) per svergolamento sotto M3        $

$   lam12          snellezza lam1 aggiuntiva su asse 2 (sezioni composte, par. 7.2.3)       $

$   lam13          snellezza lam1 aggiuntiva su asse 3 (sezioni composte, par. 7.2.3)       $

$   tmax           spessore massimo del profilo                                             $

$                  Verifiche di resistenza                                                  $

$   Area               sigN  = N  / Area                                                 $

$                W2i       :    sigM2 = M2 / W2i                                                     $

$                W3i       :    sigM3 = M3 / W3i                                                     $

$                At22                  :    tau2T2 =  T2 / At22                                                  $

$                At32                  :    tau2T3 =  T3 / At32                                                  $

$                M12                  :    tau2M1 =  M1 / M12                                                   $

$                At23                  :    tau3T2 =  T2 / At23                                                  $

$                At33                  :    tau3T3 =  T3 / At33                                                  $

$                M13                  :    tau3M1 =  M1 / M13                                                   $

$                sig =          sigN + sigM2 + sigM3                                                 $

$                tau2 =         tau2T2 + tau2T3 + tau2M1                                             $

$                tau3 =         tau3T2 + tau3T3 + tau3M1                                             $

$                sigVonMises =  sqrt(sig²+3tau2²+3tau3²)                                                                    $

$                N.b.: tutte le grandezze delle verifiche a resistenza sono dotate di segno,         $

$         in particolare tutti i moduli                 W2i  W3i  At22   At32   W12   At23                 $

$         At33   W13 hanno il segno.                                                        $

$   _UNITS      mm, cm, m, in, ft, yd                                                       $

$$$$$$$$$$$$$$$$$$$$$$$$$$$$$$$$$$$$$$$$$$$$$$$$$$$$$$$$$$$$$$$$$$$$$$$$$$$$$$$$$$$$$$$$$$$$$

$

$

_UNITS cm

$

_SHAPE11

xHE 120 B                                         ; NOME

14    3   3.464  0.  1.00  0.  0.   0.  1.1       ; nptck  nbc  i12 i13 kom12 kom13 lam12   lam13 tmax

144.1   55.62   26.4   0. -10.495   0.   0.   0.    ; W2i  W3i  At22   At32   W12   At23   At33   W13

176.44  55.62   26.4   0. +10.495   0.   0.   0.    ; W2i  W3i  At22   At32   W12   At23   At33   W13

144.1  -55.62   26.4   0. -10.495   0.   0.   0.    ; W2i  W3i  At22   At32   W12   At23   At33   W13

176.44 -55.62   26.4   0. +10.495   0.   0.   0.    ; W2i  W3i  At22   At32   W12   At23   At33   W13

-176.44  55.62   26.4   0. -10.495   0.   0.   0.    ; W2i  W3i  At22   At32   W12   At23   At33   W13

-144.1   55.62   26.4   0. +10.495   0.   0.   0.    ; W2i  W3i  At22   At32   W12   At23   At33   W13

-176.44 -55.62   26.4   0. -10.495   0.   0.   0.    ; W2i  W3i  At22   At32   W12   At23   At33   W13

-144.1  -55.62   26.4   0. +10.495   0.   0.   0.    ; W2i  W3i  At22   At32   W12   At23   At33   W13

+144.1    0.00   26.4   0. -10.495   0.   7.8  0.    ; W2i  W3i  At22   At32   W12   At23   At33   W13

176.44   0.00   26.4   0. +10.495   0.   7.8  0.    ; W2i  W3i  At22   At32   W12   At23   At33   W13

  0.    1026.83  0.    0.   0.      0.   7.8 -17.76 ; W2i  W3i  At22   At32   W12   At23   At33   W13

  0.   -1026.83  0.    0.   0.      0.   7.8 +17.76 ; W2i  W3i  At22   At32   W12   At23   At33   W13

-176.44   0.00   26.4   0. -10.495   0.   7.8  0.    ; W2i  W3i  At22   At32   W12   At23   At33   W13

-144.10   0.00   26.4   0. +10.495   0.   7.8  0.    ; W2i  W3i  At22   At32   W12   At23   At33   W13

_ENDSHAPE

 

 

         0                Il file è composto da righe che possono assumere significati differenti.

1                _UNITS                unità

                         2                dove unità può assumere i valori seguenti: mm, m, cm, in, ft, yd

                         3                Ogni riga successiva verrà interpretata sulla base dell’ultima riga _UNITS letta. Il default è mm.

 

4                _SHAPE11                                inizio del blocco relativo a una sezione utente da verificarsi con il verificatore 10011

5                _ENDSHAPE                                fine del blocco relativo a una sezione

 

Ogni altra riga diversa da queste e non compresa tra le righe _SHAPE11 o _ENDSHAPE deve essere considerata come un commento. Le righe comprese tra _SHAPE11 ed _ENDSHAPE fanno parte del blocco _SHAPE11. Tutto ciò che viene dopo un “;” su una certa riga è considerato commento.

 

         Il blocco dati _SHAPE11

 

         0                Tutto quanto è compreso tra la riga con l’identificatore _SHAPE11 e la corrsipondente riga _ENDSHAPE segue le regole qui enunciate.

         1                Il blocco è fatto nel seguente modo (comprese _SHAPE11 ed _ENDSHAPE sono [4+nptck] righe):

_SHAPE11

nome sezione                                (A20)

0                nptck                nbc                i12                i13                kom12                                kom13                                lam12                                lam13                tmax                (2I,7E)

         1                W2                W3                A22                A32                W12                A23                A33                W13                                                (8E) riga 1

         2                W2                W3                A22                A32                W12                A23                A33                W13                                                (8E) riga 2

3                ................................................................................................................

         4                W2                W3                A22                A32                W12                A23                A33                W13                                                (8E) riga nptck

_ENDSHAPE

         Il significato dei simboli è il seguente:

nome sezione

è il nome della sezione e viene confrontato con il nome della sezione descritta nel modello. Deve essere al più di 20 caratteri. Se è lungo meno di 20 caratteri viene completato aggiungendo degli spazi bianchi.

Nptck

È il numero di punti di verifica di resistenza sulla sezione e deve essere > 0.

Nbc

È il numero della curva di stabilità da adottare nelle verifiche a pressoflessione (a=1, b=2, c=3, d=4). Deve essere eguale a 1, 2, 3, o 4.

i12

È il raggio di inerzia usato per calcolare la snellezza (l1) da usare nelle verifiche a svergolamento sotto l’azione del momento M2.

i13

È il raggio di inerzia usato per calcolare la snellezza (l1) da usare nelle verifiche a svergolamento sotto l’azione del momento M3.

Kom12

Questo numero ha il seguente scopo. Ad ogni snellezza l1 corrisponde sulla curva di stabilità “c” un certo valore di w. Moltiplicando il valore di w trovato per il termine Kom12 si ottiene il valore di w1 previsto per fare la verifica a svergolamento sotto M2 (cfr. par. 7.3.2.2.1). Ovvero:

_bm70

_bm71

grazie alla curva di stabilità c

_bm72

_bm73

il valore di W2 impiegato è quello della sezione definita in Sargon (vale a dire il modulo minimo), non alcuno dei moduli definiti dall’utente per la verifica di resistenza.

Kom13

Il significato è analogo a quello di kom12, ma il valore di w1 trovato viene impiegato per eseguire le verifiche a svergolamento sotto M3. Ovvero:

_bm74

_bm75

grazie alla curva di stabilità c

_bm76

_bm77

il valore di W3 impiegato è quello della sezione definita in Sargon (vale a dire il modulo minimo), non alcuno dei moduli definiti dall’utente per la verifica di resistenza.

Lam12

Le sezioni abbottonate, calastrellate o tralicciate devono essere verificate a stabilità aggiungendo una snellezza fittizia l1 (cfr. par. 7.2.3). Il valore di lam12 rappresenta la snellezza da aggiungere alla snellezza secondo l’asse 2 per ottenere la snellezza totale secondo la formula

_bm78

 

1                Lam13

Le sezioni abbottonate, calastrellate o tralicciate devono essere verificate a stabilità aggiungendo una snellezza fittizia l1 (cfr. par. 7.2.3). Il valore di lam13 rappresenta la snellezza da aggiungere alla snellezza secondo l’asse 3 per ottenere la snellezza totale secondo la formula

_bm79

 

W2

Modulo di resistenza per calcolare la s dovuta a M2.

W3

Modulo di resistenza per calcolare la s dovuta a M3.

A22

Modulo di resistenza per calcolare la t2 dovuta a T2.

A32

Modulo di resistenza per calcolare la t2 dovuta a T3.

W12

Modulo di resistenza per calcolare la t2 dovuta a M1.

A23

Modulo di resistenza per calcolare la t3 dovuta a T2.

A33

Modulo di resistenza per calcolare la t3 dovuta a T3.

W13

Modulo di resistenza per calcolare la t3 dovuta a M1.

 

Verifiche in accordo a CNR 10011 SL

 

Verifiche automatiche

         Sono stati implementati i seguenti paragrafi e capitoli relativi alle norme CNR 10011/88:

 

Cap                1

0                Cap                2: 2.1, 2.2, 2.8, 2.9

1                Cap                3: 3.2

2                Cap                4: 4, 4.1

3                Cap                6: 6.1, 6.2, 6.3, 6.4, 6.5, 6.5.1, 6.5.2, 6.6, 6.7

Cap                7: 7.1, 7.2.1, 7.2.2, 7.2.3.1, 7.2.3.2, 7.2.3.2.1, 7.2.3.4.2, 7.2.6.1(in sargon), 7.2.6.2 (in sargon),

         0                7.3.2, 7.3.2.1, 7.3.2.2, 7.3.2.2.1, 7.3.2.2.2, 7.4.1, 7.4.1.1, 7.4.1.2, 7.4.2

 

0                Nell'uso di CESCO, con riguardo alle CNR, si tenga presente quanto segue, con riferimento ai paragrafi indicati:

 

1                par 3.2.1 Le combinazioni che il verificatore considera sono quelle definite all’interno di Cesco.

 

2                par 4.1.1, il programma, per poter funzionare anche con materiali diversi da quelli previsti dalle CNR 10011/88 (ovvero per esempio materiali esteri), assume per il calcolo della tensione di progetto un algoritmo in forma chiusa reperibile nelle norme CNR 10029/85 par. 3. Per questo motivo sono da attendersi piccoli scarti rispetto alle tensioni nominali di normativa CNR 10011/88.

 

3                cap 7, verifiche a stabilità. L'azione assiale tenuta in conto quando si eseguono le verifiche a stabilità è la massima azione di compressione rilevata sull'asta, con la risoluzione data dal numero di sezioni richiesto. Tale assunzione è a favore di sicurezza in assenza di alcuna determinazione da parte delle norme.

 

4                par 7.2.2.1.1, determinazione di b. È compito dell'utente attribuire alle aste il giusto coefficiente b; per default il programma assume il valore 1.

 

par 7.2.3, nel caso di aste composte a correnti ravvicinati, il programma assume un l1 = 50 o 40 a seconda del tipo di acciaio. Valori di l1 superiori non sono comunque ammessi dalle norme per profili abbottonati (par 7.2.3.4.2). Per profili calastrellati il programma assume l1 = 50 o 40 a seconda del tipo di acciaio anche se la norma, in tal caso, consente l1 superiori. È compito dell'utente evitare l1 superiori a 50 o 40 anche per profili calastrellati.

 

0                par 7.2.6, È compito dell'utente sincerarsi che i profili scelti verifichino le limitazioni sui rapporti larghezza spessore.

 

1                par 7.3.2., la verifica allo svergolamento secondo quanto previsto dalle formule di questo paragrafo viene applicata, secondo la norma, agli stati di sollecitazione di flessione pura. Nel caso di pressoflessione, a queste formule si affianca la 7.4.2.. CESCO esegue, infatti, i calcoli in 7.4.2. solo se v'è una compressione. I calcoli in 7.3.2. vengono invece svolti in ogni caso. Se è presente una tenso-flessione, e si è nei casi coperti dal par. 7.3.2.2.1. la trazione viene trascurata, a favore di sicurezza. Se invece è presente una tensoflessione e si deve applicare la 7.3.2.2.2., dato lo spirito diverso del metodo, la trazione viene tenuta in conto per valutare l'effettiva Neq.

 

par 7.4.1.1, la formula per il calcolo del momento equivalente Meq = 0.6Ma - 0.4Mb può essere assunta se vi è una distribuzione di momento lineare e se l'asta è "vincolata ad entrambi gli estremi". Mentre la prima condizione è verificata automaticamente da CESCO, la seconda condizione richiede delle convenzioni. CESCO assume che gli estremi siano vincolati, ovvero che l'asta appartenga ad una sottostruttura a vincoli fissi, se b risulta <= 1. Se b è > 1, anche nel caso in cui la distribuzione di momento sia lineare, CESCO non assume applicabile la formula predetta. Per b si intende

b = max (b2, b3)

par 7.4.1., se nella verifica a pressoflessione di una trave la quantità posta a denominatore delle formule

 

_bm80

 

0                diventa negativa, le formule stesse perdono valore. In tal caso il coefficiente di sfruttamento viene convenzionalmente posto eguale a 99.

 

1                Membrature

 

2                Per ciò che attiene alle caratteristiche adottate nelle verifiche a pressoflessione ed a svergolamento dei par. 7.4.1. e 7.4.2, queste sono quelle della sezione di area minima incontrata esaminando le aste costituenti.

3                Relativamente alle verifiche su membrature, va rilevato che affinchè queste abbiano significato, la membratura deve essere costituito da aste con identica sezione, identicamente orientate: le norme infatti non dicono alcunchè su tali verifiche nel caso in cui il profilo vari sull'asta.

 

Verifiche utente

0                Generalità

         CESCO consente di eseguire parte delle verifiche secondo regole stabilite dall’utente. Questa importante funzionalità è destinata a risolvere due problemi distinti:

 

1)                La necessità di poter eseguire le verifiche anche su sezioni non coperte dal verificatore automatico;

1)                La opportunità di scegliere gli algoritmi di verifica in modo più aderente alla situazione specifica o alle necessità peculiari o alle personali convinzioni del progettista.

Si pensi ad esempio al calcolo delle tensioni tangenziali dovute al taglio: non esiste una teoria di riferimento unica, alcuni applicano la formula di Jourawskij, altri preferiscono ripartire uniformemente il taglio sugli elementi resistenti.

Il programma che esegue le verifiche si comporta in modo diverso a seconda che l’elemento da verificare sia dotato di una sezione standard o di una sezione utente.

Se l’elemento ha una sezione standard esso verrà verificato secondo le regole implementate all'interno del programma, se invece esso ha una sezione non standard allora verrà verificato in accordo alle regole stabilite dall’utente. Per poter decidere se una sezione è standard o no il programma confronta il nome della sezione (spazi e maiuscole-minuscole incluse) con l’elenco delle sezioni utente contenuto nel file cnrdata.txt. Se la sezione compare tra quelle utente allora verrà verificata secondo le regole dell’utente, in caso contrario verrà verificata dal programma. Alcuni tipi sezionali non vengono verificati se non come profili utente. Questi tipi sono: sezioni generiche, sezioni composte generiche, sezioni formate a freddo generiche o dei tipi previsti (a Z, a C, a omega, ad L). Per le sezioni formate a freddo il verificatore secondo le 10011 non è in ogni caso adeguato e si raccomanda invece di usare il verificatore 10011-10022, che però è solo alle tensioni ammissibili (così come la 10022).

 

Superset alle norme CNR10011

 

         Per poter spiegare ad un computer il modo nel quale eseguire le verifiche automatiche di una sezione o di un elemento in accordo ad una data norma è necessario poter definire regole chiare ed inequivoche atte a trattare il problema in modo generale.

         La maggior parte delle norme non sistematizza il problema sino a definire in maniera chiara ed inequivoca il modo in cui comportarsi in generale. Il più delle volte si tratta di regole previste in accordo a tabelle di tipi e prive di una validità generale.

         Definiamo “superset” di una certa norma un certo insieme di regole con opportuni parametri, da usare in casi generali non previsti esplicitamente dalla norma stessa, e capaci di essere ricondotte ai casi previsti pur di scegliere in modo opportuno i parametri stessi.

         Per essere accettabile un superset deve contenere le formule di normativa come caso particolare.

         Castalia ha elaborato e concepito un particolare superset alle norme CNR10011 che è stato implementato nel verificatore secondo le CNR10011 in modo da consentire all’utente sia di verificare sezioni arbitrariamente complesse, sia di personalizzare le regole di verifica sulla base delle proprie esigenze progettuali. Qui di seguito si dà chiarimento delle regole introdotte.

 

Verifiche di resistenza

         Nelle norme CNR agli stati limite le verifiche di resistenza comportano la valutazione dello stato di sforzo in vari punti della sezione. Per le CNR10011 lo sforzo da valutare è quello di Von Mises, che combina completamente la tensione normale e quella tangenziale. Supponendo di riferire la sezione ai suoi assi principali, in ogni punto rilevante occorre calcolare la terna (s, t2, t3), per poi valutare

_bm81

         Mentre per il calcolo della tensione normale è tutto facile, perchè si possono facilmente valutare i moduli di resistenza in ogni punto, per le tensioni tangenziali originate dal momento torcente M1 e dai due tagli T2 e T3 il discorso è più complesso, in quanto non è sempre immediata e disponibile una teoria semplificata da usare per la sezione in esame. Nè è pensabile risolvere un sistema di equazioni differenziali alle derivate parziali per procedere. Introduciamo pertanto  delle regole semplificate per il calcolo di t2 e di t3 . Precisamente poniamo:

_bm82

_bm83

_bm84

dove (N, T2, T3, M1, M2, M3) è la sestupla con le sollecitazioni e:

 

A                                area della sezione

W2                                modulo di resistenza per calcolare la s dovuta a M2.

W3                                modulo di resistenza per calcolare la s dovuta a M3.

A22                                modulo di resistenza per calcolare la t2 dovuta a T2.

A32                                modulo di resistenza per calcolare la t2 dovuta a T3.

W12                                modulo di resistenza per calcolare la t2 dovuta a M1.

A23                                modulo di resistenza per calcolare la t3 dovuta a T2.

A33                                modulo di resistenza per calcolare la t3 dovuta a T3.

W13                                modulo di resistenza per calcolare la t3 dovuta a M1.

 

         Tutti i moduli ad eccezione di A variano da punto a punto sulla sezione. Tutti i moduli ad eccezione di A possono avere segno positivo o negativo, dando luogo a tensioni con segno positivo o negativo.

 

Verifiche a pressoflessione

 

         Le verifiche a pressoflessione vengono implementate secondo la formula del par. 7.4.1.2..I moduli di resistenza W2 e W3 sono quelli minimi in valore assoluto. Il valore di w viene valutato mediante la curva di stabilità specificata dall’utente con il parametro nbc, che può valere 1, 2, 3 o 4 a seconda che la curva prescelta sia la ”a”, la “b”, la “c” o la “d” della norma.

         Nel caso in cui l’asta sia composta è necessario aggiungere una snellezza l1 (cfr. par 7.2.3) sia alla snellezza secondo l’asse 2 che alla snellezza secondo l’asse 3. Occorrono pertanto due parametri liberi, che sono i parametri l12 e l13. Valgono le regole previste dalle norme:

_bm85

_bm86

 

Verifiche a svergolamento

 

Il comportamento a svergolamento (par. 7.3) viene tenuto in conto dando una regola generale per il calcolo del fattore w1. Occorre inoltre tenere in conto che lo svergolamento può in generale avvenire sia a causa del momento M2 che a causa del momento M3, e non solo a causa di M2 (come implicitamente previsto dalle norme, che tabellano i casi di sezioni ad H, a T, a C, eccetera. Si pensi ad una sezione a croce ottenuta saldando due mezze I sull’anima di una sezione ad H: essa può svergolare sia a causa di M2 che a causa di M3).

Il valore di w1 dipende sia dalla forma della sezione che dalla sua snellezza. Poniamo per lo svergolamento sotto M2:

_bm87

_bm88

grazie alla curva di stabilità c

_bm89

_bm90

Per lo svergolamento sotto M3 poniamo:

_bm91

_bm92

grazie alla curva di stabilità c

_bm93

_bm94

 

Le quantità in grassetto, i12 e kom12 sono i due parametri necessari ad individuare il comportamento sotto l’azione del momento M2, altri due parametri sono necessari per individuare il comportamento sotto l’azione del momento M3, essi sono i13 e kom13.

         La formula che tiene in conto degli effetti combinati, par. 7.4.2.,

_bm95

viene generalizzata nel seguente modo:

_bm96

 

Se i parametri i12 , kom12  oppure i13 e kom13 vengono forniti eguali a zero il valore di w1 viene posto eguale a 1.

 

 

Il file cnrdata.txt

 

         Nel direttorio di installazione del programma è presente il file ASCII “cnrdata.txt”, il quale elenca tutte le forme sezionali da verificarsi secondo le regole utente. E’ compito dell’utente mantenere ed aggiornare questo file in modo da ottenere i risultati voluti.

$$$$$$$$$$$$$$$$$$$$$$$$$$$$$$$$$$$$$$$$$$$$$$$$$$$$$$$$$$$$$$$$$$$$$$$$$$$$$$$$$$$$$$$$$$$$$

$                                    CNR  10011                                             $

$        ARCHIVIO SEZIONI SPECIALI DA VERIFICARSI SECONDO REGOLE DELL'UTENTE                $

$                             Cesco  - Copyright Castalia s.r.l. 1998-1998                           $

$ file version 1.0                                                                          $

$$$$$$$$$$$$$$$$$$$$$$$$$$$$$$$$$$$$$$$$$$$$$$$$$$$$$$$$$$$$$$$$$$$$$$$$$$$$$$$$$$$$$$$$$$$$$

$                                                                                           $

$   NOME           nome della sezione (max 20 caratteri)                                    $

$   nptck          numero di punti in cui eseguire il check di resistenza sulla sezione     $

$   nbc            numero della curva di buckling (a=1, b=2, c=3, d=4)                      $

$   i12            raggio di inerzia da usare per la verifica a svergolamento (M2)          $

$   i13            raggio di inerzia da usare per la verifica a svergolamento (M3)          $

$   kom12          fattore pari a omega1 / omega(lambda1) per svergolamento sotto M2        $

$   kom13          fattore pari a omega1 / omega(lambda1) per svergolamento sotto M3        $

$   lam12          snellezza lam1 aggiuntiva su asse 2 (sezioni composte, par. 7.2.3)       $

$   lam13          snellezza lam1 aggiuntiva su asse 3 (sezioni composte, par. 7.2.3)       $

$   tmax           spessore massimo del profilo                                             $

$                  Verifiche di resistenza                                                  $

$   Area               sigN  = N  / Area                                                 $

$                W2i       :    sigM2 = M2 / W2i                                                     $

$                W3i       :    sigM3 = M3 / W3i                                                     $

$                At22                  :    tau2T2 =  T2 / At22                                                  $

$                At32                  :    tau2T3 =  T3 / At32                                                  $

$                M12                  :    tau2M1 =  M1 / M12                                                   $

$                At23                  :    tau3T2 =  T2 / At23                                                  $

$                At33                  :    tau3T3 =  T3 / At33                                                  $

$                M13                  :    tau3M1 =  M1 / M13                                                   $

$                sig =          sigN + sigM2 + sigM3                                                 $

$                tau2 =         tau2T2 + tau2T3 + tau2M1                                             $

$                tau3 =         tau3T2 + tau3T3 + tau3M1                                             $

$                sigVonMises =  sqrt(sig²+3tau2²+3tau3²)                                                                    $

$                N.b.: tutte le grandezze delle verifiche a resistenza sono dotate di segno,         $

$         in particolare tutti i moduli                 W2i  W3i  At22   At32   W12   At23                 $

$         At33   W13 hanno il segno.                                                        $

$   _UNITS      mm, cm, m, in, ft, yd                                                       $

$$$$$$$$$$$$$$$$$$$$$$$$$$$$$$$$$$$$$$$$$$$$$$$$$$$$$$$$$$$$$$$$$$$$$$$$$$$$$$$$$$$$$$$$$$$$$

$

$

_UNITS cm

$

_SHAPE11

xHE 120 B                                         ; NOME

14    3   3.464  0.  1.00  0.  0.   0.  1.1       ; nptck  nbc  i12 i13 kom12 kom13 lam12   lam13 tmax

144.1   55.62   26.4   0. -10.495   0.   0.   0.    ; W2i  W3i  At22   At32   W12   At23   At33   W13

176.44  55.62   26.4   0. +10.495   0.   0.   0.    ; W2i  W3i  At22   At32   W12   At23   At33   W13

144.1  -55.62   26.4   0. -10.495   0.   0.   0.    ; W2i  W3i  At22   At32   W12   At23   At33   W13

176.44 -55.62   26.4   0. +10.495   0.   0.   0.    ; W2i  W3i  At22   At32   W12   At23   At33   W13

-176.44  55.62   26.4   0. -10.495   0.   0.   0.    ; W2i  W3i  At22   At32   W12   At23   At33   W13

-144.1   55.62   26.4   0. +10.495   0.   0.   0.    ; W2i  W3i  At22   At32   W12   At23   At33   W13

-176.44 -55.62   26.4   0. -10.495   0.   0.   0.    ; W2i  W3i  At22   At32   W12   At23   At33   W13

-144.1  -55.62   26.4   0. +10.495   0.   0.   0.    ; W2i  W3i  At22   At32   W12   At23   At33   W13

+144.1    0.00   26.4   0. -10.495   0.   7.8  0.    ; W2i  W3i  At22   At32   W12   At23   At33   W13

176.44   0.00   26.4   0. +10.495   0.   7.8  0.    ; W2i  W3i  At22   At32   W12   At23   At33   W13

  0.    1026.83  0.    0.   0.      0.   7.8 -17.76 ; W2i  W3i  At22   At32   W12   At23   At33   W13

  0.   -1026.83  0.    0.   0.      0.   7.8 +17.76 ; W2i  W3i  At22   At32   W12   At23   At33   W13

-176.44   0.00   26.4   0. -10.495   0.   7.8  0.    ; W2i  W3i  At22   At32   W12   At23   At33   W13

-144.10   0.00   26.4   0. +10.495   0.   7.8  0.    ; W2i  W3i  At22   At32   W12   At23   At33   W13

_ENDSHAPE

 

 

         Il file è composto da righe che possono assumere significati differenti.

_UNITS                unità

                         dove unità può assumere i valori seguenti: mm, m, cm, in, ft, yd

                         Ogni riga successiva verrà interpretata sulla base dell’ultima riga _UNITS letta. Il default è mm.

 

_SHAPE11                                inizio del blocco relativo a una sezione utente da verificarsi con il verificatore 10011

_ENDSHAPE                                fine del blocco relativo a una sezione

 

Ogni altra riga diversa da queste e non compresa tra le righe _SHAPE11 o _ENDSHAPE deve essere considerata come un commento. Le righe comprese tra _SHAPE11 ed _ENDSHAPE fanno parte del blocco _SHAPE11. Tutto ciò che viene dopo un “;” su una certa riga è considerato commento.

 

         Il blocco dati _SHAPE11

 

         Tutto quanto è compreso tra la riga con l’identificatore _SHAPE11 e la corrsipondente riga _ENDSHAPE segue le regole qui enunciate.

         Il blocco è fatto nel seguente modo (comprese _SHAPE11 ed _ENDSHAPE sono [4+nptck] righe):

_SHAPE11

nome sezione                                (A20)

nptck                nbc                i12                i13                kom12                                kom13                                lam12                                lam13                tmax                (2I,7E)

         W2                W3                A22                A32                W12                A23                A33                W13                                                (8E) riga 1

         W2                W3                A22                A32                W12                A23                A33                W13                                                (8E) riga 2

................................................................................................................

         W2                W3                A22                A32                W12                A23                A33                W13                                                (8E) riga nptck

_ENDSHAPE

         Il significato dei simboli è il seguente:

nome sezione

è il nome della sezione e viene confrontato con il nome della sezione descritta nel modello. Deve essere al più di 20 caratteri. Se è lungo meno di 20 caratteri viene completato aggiungendo degli spazi bianchi.

Nptck

È il numero di punti di verifica di resistenza sulla sezione e deve essere > 0.

Nbc

È il numero della curva di stabilità da adottare nelle verifiche a pressoflessione (a=1, b=2, c=3, d=4). Deve essere eguale a 1, 2, 3, o 4.

i12

È il raggio di inerzia usato per calcolare la snellezza (l1) da usare nelle verifiche a svergolamento sotto l’azione del momento M2.

i13

È il raggio di inerzia usato per calcolare la snellezza (l1) da usare nelle verifiche a svergolamento sotto l’azione del momento M3.

Kom12

Questo numero ha il seguente scopo. Ad ogni snellezza l1 corrisponde sulla curva di stabilità “c” un certo valore di w. Moltiplicando il valore di w trovato per il termine Kom12 si ottiene il valore di w1 previsto per fare la verifica a svergolamento sotto M2 (cfr. par. 7.3.2.2.1). Ovvero:

_bm97

_bm98

grazie alla curva di stabilità c

_bm99

_bm100

il valore di W2 impiegato è quello della sezione definita in Sargon (vale a dire il modulo minimo), non alcuno dei moduli definiti dall’utente per la verifica di resistenza.

Kom13

Il significato è analogo a quello di kom12, ma il valore di w1 trovato viene impiegato per eseguire le verifiche a svergolamento sotto M3. Ovvero:

_bm101

_bm102

grazie alla curva di stabilità c

_bm103

_bm104

il valore di W3 impiegato è quello della sezione definita in Sargon (vale a dire il modulo minimo), non alcuno dei moduli definiti dall’utente per la verifica di resistenza.

Lam12

Le sezioni abbottonate, calastrellate o tralicciate devono essere verificate a stabilità aggiungendo una snellezza fittizia l1 (cfr. par. 7.2.3). Il valore di lam12 rappresenta la snellezza da aggiungere alla snellezza secondo l’asse 2 per ottenere la snellezza totale secondo la formula

_bm105

 

Lam13

Le sezioni abbottonate, calastrellate o tralicciate devono essere verificate a stabilità aggiungendo una snellezza fittizia l1 (cfr. par. 7.2.3). Il valore di lam13 rappresenta la snellezza da aggiungere alla snellezza secondo l’asse 3 per ottenere la snellezza totale secondo la formula

_bm106

 

W2

Modulo di resistenza per calcolare la s dovuta a M2.

W3

Modulo di resistenza per calcolare la s dovuta a M3.

A22

Modulo di resistenza per calcolare la t2 dovuta a T2.

A32

Modulo di resistenza per calcolare la t2 dovuta a T3.

W12

Modulo di resistenza per calcolare la t2 dovuta a M1.

A23

Modulo di resistenza per calcolare la t3 dovuta a T2.

A33

Modulo di resistenza per calcolare la t3 dovuta a T3.

W13

Modulo di resistenza per calcolare la t3 dovuta a M1.

 

Verifiche in accordo a EC3

 

Sommario:

1                Generalità

2                Paragrafi implementati

3                Classificazione delle sezioni

4                Verifiche standard

         4.1                Verifiche di resistenza

         4.2                Verifiche di stabilità

                         4.2.1                Il problema dello svergolamento

4.2.2                Il nuovo formato delle verifiche di pressoflessione (metodo 1 e metodo 2)

5                L’uso di checksolvers

6                Le schede di validazione

7                Bibliografia

 

 

Generalità

 

         L’aggiornamento del verificatore dalla versione ENV della norma alla versione EN ha richiesto un considerevole lavoro. La stesura di un verificatore in accordo ad EN1993-1-1 si presenta come un lavoro molto vasto e complesso, tenuto conto dei notevoli problemi di interpretazione e di applicazione che la norma pone, quando applicata in un contesto generale. Il problema è così vasto che sarà oggetto di una trilogia di pubblicazioni [1]-[3] delle quali al momento (novembre 2007) è disponibile solo la prima. Non si ritiene di poter dare in questa sede che indicazioni di massima, riservando alle pubblicazioni [1]-[3] l’approfondimento necessario.

         Nel passaggio dalla versione ENV alla versione EN sono profondamente cambiate le formule di verifica a pressoflessione, e ciò ha posto considerevoli problemi di interpretazione e di applicazione. Inoltre, per le sezioni in classe 3, di fatto è stato ripristinato il calcolo tensionale puntuale tradizionale, sia pur con una mitigazione legata alla possibilità di redistribuire plasticamente le sollecitazioni taglianti e torcenti applicate.

         I maggiori problemi riguardano la mancata generalità di numerose parti che sono state messe a punto avendo in mente problemi particolari. Le stesse formule di pressoflesisone non sono di fatto applicabili se non a profili doppiamente simmetrici. Si tratta di una grave limitazione, che non è mitigata da alcuna formula alternativa.

         Il lavoro di studio e approfondimento ha abbracciato alcuni mesi. Da questo lavoro è scaturita anche una serie di importanti migliorie rispetto alla versione ENV precedentemente rilasciata. Tali migliorie sono le seguenti:

·                È stata inclusa la torsione che precedentemente non era nominata dalla norma;

·                Sono stati affrontati tutti i complessi problemi di interazione tra taglio e torsione anche se non chiariti dalla norma;

·                È stato aggiunto il tracciamento dei calcoli, una funzionalità che consente di ricostruire passo passo i calcoli fatti e di disporre della gran parte dei risultati intermedi;

·                Sono state messe a punto ben 100 schede di validazione ed alcuni worked example, che entreranno a far parte della documentazione del programma non appena pubblicate ufficialmente in [2] e [3], oggi in corso di stesura;

·                E’ stato ampliato enormemente il raggio di azione del programma consentendo la esecuzione di verifiche utente su sezioni di forma qualsiasi;

·                E’ stata migliorata la parte relativa al calcolo a svergolamento;

·                E’ stata data la possibilità di usare vari tipi diversi di calcoli, scegliendo il miglior modo di eseguire il verificatore.

·                E’ stata aggiunta a checksolvers la possibilità di eseguire controlli sui coefficienti di sfruttamento ottenuti con la norme EC3.

 

 

 

Paragrafi implementati

 

3.2.3 (per spessori t>80mm si è assunta una riduzione di 40N/mmq); 3.2.6, 5.5.2, 6.2.1 (ma non (2) e (10)), 6.2.2.1, 6.2.2.2  (l’area netta è tenuta in conto da un fattore riduttivo dell’area lorda), 6.2.2.5 (1) (2) i formati a freddo sono fuori dal campo di applicazione, (3), (4); 6.2.3; 6.2.4; 6.2.5; 6.2.6  ad esclusione delle clausole (5) applicata sempre e (6); 6.2.7 ma tenendo solo conto della torsione primaria; 6.2.8; 6.2.9.1 (ma non clausola (4)); 6.2.9.2; 6.2.9.3; 6.2.10; 6.3.1.1; 6.3.1.2 ma non clausola (4);6.3.1.3; 6.3.1.4; 6.3.2.1; 6.3.2.2.;6.3.2.4. per alcuni profili prendendo kc=1 clausola (2) e (3); 6.3.3.; annesso A; annesso B

 

Classificazione delle sezioni

 

         A parte qualche piccola differenza nella definizione dei rapporti larghezza spessore, e, conseguentemente, nella definizione dei limiti, il problema della classificazione è stato affrontato in modo identico a quanto già previsto dalla precedente versione del verificatore. L’argomento è molto complesso quando affrontato nella sua generalità, ed è stato oggetto di una specifica pubblicazione ([1]) che costituisce il fondamentale riferimento bibliografico dal quale trarre tutte le informazioni del caso.

 

SARGON risolve completamente il problema nel caso di sezioni ad I ed H laminato ed a I saldato (IPE, HEA, ecc.) così come chiarito in [1], mentre relativamente agli altri profili SARGON assume come classe la massima classe tra quelle dovute a sollecitazioni pure (sola N, solo M2, solo M3). Nel caso di elementi biella SARGON assume come classe la classe 1 se l'elemento è in trazione, la classe a compressione semplice in caso contrario.

Il caso di classe 4 è da considerare un caso a sè. Il calcolo delle grandezze efficaci viene eseguito per i soli profili ad I laminati. Negli altri casi tali grandezze sono poste eguali a zero. E’ tuttavia sempre possibile mediante le verifiche utente definire i moduli di resistenza efficaci pertinenti.

Un profilo che risulti di classe 4 e non sia un profilo ad I o un profilo-utente viene considerato non verificato, ed a esso è associato il coefficiente di sfruttamento convenzionale 99.

Profili che non siano doppiamente simmetrici presentano particolari problemi allorchè ci si trovi a calcolarne le grandezze efficaci. In tal caso infatti, anche sotto sollecitazioni semplici, gli assi principali della sezione efficace sono ruotati rispetto a quelli della sezione lorda, facendo con ciò perdere un pò di vista il significato delle verifiche a stabilità.

 

Quando per profili classificati in accordo a quanto chiarito nell’articolo citato uno qualsiasi di questi tre rapporti, in valore assoluto

 

N/Npl                                M2/M2pl                                M3/M3pl

 

è minore di 1.e-4 (0.0001), allora la corrispondente componente di sollecitazione è assunta nulla ai fini della classificazione. Tale accorgimento evita che compressioni puramente numeriche (piccoli valori di compressione in presenza di momento nullo) possano portare a classificazioni troppo severe.

 

Verifiche standard

 

Con il nome di “verifiche standard” si intendono tutte quelle verifiche che vengono eseguite sui profili in modo automatico ovvero senza che l’utente “insegni” al programma come fare. Chiaramente, data l’estrema complessità della norma, è talvolta necessario impiegare “sezioni utente” al fondamentale fine di chiarire in che modo trattare profili di forma particolare, oppure al fine di specializzare le verifiche secondo i propri desideri.

 

Verifiche di resistenza

 

Sezioni in classe 1 o in classe 2

 

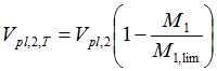
         Per queste sezioni vengono utilizzati, dove disponibili, domini nonlineari eventualmente corretti per tener conto della presenza di taglio e torsione. Nel caso in cui tali domini non siano disponibili viene impiegata una formula di interazione di tipo lineare, corretta per tener conto della presenza di taglio e momento torcente. In questo caso gli sfruttamenti plastici vengono calcolati impiegando una tensione di snervamento ridotta (1-r2-r3)fy al posto della tensione di snervamento originaria. Di solito gli sfruttamenti calcolati non sono coefficienti di sfruttamento ma meri indici di sfruttamento, essi non esprimono cioè una reale distanza dalla soglia. Per una estesa trattazione del problema, non sintetizzabile nelle note di rilascio di un programma, si rimanda a [3].

 

Sezioni in classe 3

 

         In questo caso le verifiche sono verifiche puntuali ed il criterio adottato è quello di Von Mises. Le sezioni si dividono in due gruppi: il gruppo delle sezioni per le quali vengono adottate delle verifiche convenzionali, ottenute sovrapponendo le tensioni normali e tangenziali in modo che siano a favore di sicurezza; ed il gruppo di sezioni per le quali viene definito un insieme di punti nei quali vengono definiti dei moduli di resistenza generalizzati atti a far calcolare la tensione normale e la tensione tangenziale, combinate poi con la regola di Von Mises.

         Al primo gruppo appartengono le sezioni: circolari; a [], a ][, angolari composti a T ed a croce, nonchè angolari semplici;

         Al secondo gruppo appartengono le sezioni ad I o H laminato, ad I o H saldato, a T laminato o saldato, RHS (rectangular hollow section), a cassone, piatti o rettangolari, ed UPN nonché C saldati.

         Poiché la norma consente una redistribuzione plastica anche nel caso di calcoli elastici in nessuno di questi casi la tensione tangenziale dovuta al taglio è calcolata usando la formula di Jouravskij. Invece viene sempre adottata una ripartizione costante.

 

Sezioni in classe 4

 

         Le uniche sezioni di classe 4 verificate in modo automatico sono quelle ad I o H laminato. Per queste sezioni la formula di verifica a resistenza è quella presente nella norma alla equazione 6.44. Nel caso in cui sia presente anche taglio e torsione la formula viene corretta riducendo da 1 a (1-r2-r3) la soglia massima. In questo caso

_bm107

_bm108

E di conseguenza r3.

 

Verifiche di stabilità

 

         Le formule di stabilità presenti nell’Eurocodice 3 sono relative alle verifiche di compressione, di svergolamento, di pressoflessione con o senza svergolamento. Per quanto riguarda la verifica di compressione semplice questa non presenta particolari difficoltà nota che sia la snellezza e la curva di stabilità da adottare per la verifica. Ove l’azione assiale sia variabile il programma assume la massima compressione come valore di riferimento sulla membratura. Per quanto invece riguarda le verifiche di svergolamento e di pressoflessione, esistono considerevoli problemi che necessitano di essere menzionati.

 

Il problema dello svergolamento

 

         Le verifiche a svergolamento possono essere eseguite essenzialmente mediante tre distinti metodi, in EN1993. Il primo metodo impiega una formula chiusa per il calcolo del momento critico; il secondo metodo impiega i moltiplicatori critici e limite ottenuti con calcoli di buckling e di analisi nonlineare; il terzo metodo, semplificato, verifica la piattabanda compressa. Il verificatore usa quando possibile il metodo che impiega la formula chiusa per il valore di Mcrit, mentre quando ciò non è possibile (sezioni utente o sezioni a C) si esegue di fatto una verifica della piattabanda compressa pensata isolata dal resto della sezione.

         Il primo metodo può essere applicato solo a sezioni inflesse nel piano di simmetria, e consiste nell’applicare una complicata formula (non più esplicitamente presente nella norma) che può essere scritta come segue:

_bm109

Se il carico è applicato nel centro di taglio zg=0. Inoltre per sezioni doppiamente simmetriche zj=0. In questi casi la formula precedente si semplifica e viene unicamente a dipendere dal coefficiente di distribuzione C1. Il termine kw è un coefficiente che vale 1 quando l’ingobbamento è libero agli estremi, 0,5 se è impedito. Il coefficiente b1 (anche indicato da k, in alcune fonti), dà conto della lunghezza compresa tra due ritegni torsionali successivi e di solito coincide con 1. Il termine Iw è la costante di ingobbamento mentre It è il momento di inerzia torsionale.

         Nel caso di sezioni ad I o ad H laminato ed a I saldato, la formula precedente fornisce direttamente il valore del momento critico elastico associato allo svergolamento. Tale formula dipende, come si è detto, dal coefficiente di distribuzione C1 che per momento costante vale 1 mentre per momento variabile è generalmente maggiore di 1. Sebbene siano disponibili tabelle capaci di fornire questo coefficiente in una certa casistica, nella maggior parte dei casi tale coefficiente non risulta determinabile in modo semplice. Alcuni studi, eseguiti su un gran numero di simulazioni numeriche, hanno permesso di mettere a punto delle formule semplificate che, campionando il diagramma di momento M associato allo svergolamento (di solito M2) esprimono C1 in forma chiusa.

         Tra queste formule l’ultima e più attendibile è quella di Serna. Altre formulazioni sono dovute a Kirby-Nethercot (norme americane) ed alle normative BS.

         Il programma verificatore è in grado di calcolare C1 partendo da una generica distribuzione di momento, mediante l’uso delle formule anzi dette. E’ anche possibile fissare un valore unico e costante per C1.

         Calcolato il momento Mcrit (che come si vede dipende dalla combinazione a causa della dipendenza di C1 dal diagramma di momento sollecitante). Il programma può calcolare la snellezza per lo svergolamento lLT e da questa un coefficiente riduttivo da applicare al momento limite per ottenere la soglia di momento da associare alla instabilità laterale per svergolamento.

 

         Quando viene applicato il metodo della piattabanda compressa, di fatto si valuta la snellezza di questa mediante il suo raggio di inerzia if. Anche in questo caso è previsto un coefficiente, denominato kc, che consente di dosare la verifica in funzione della distribuzione di momento, ma, data l’indisponibilità di formule generali per la sua valutazione esso, a favore di sicurezza, viene posto eguale ad 1.

 

Il nuovo formato delle verifiche di pressoflessione (metodo 1 e metodo 2)

 

         Le nuove norme EN differiscono dalle precedenti ENV in specie per il formato delle verifiche a pressoflessione, che è stato profondamente cambiato pervenendo, nella intenzione degli autori, ad un formato al tempo stesso più chiaro e più accurato. In realtà da un punto di vista operativo il nuovo formato si presenta notevolmente complesso e macchinoso, tanto che di fatto risulta inapplicabile a mano. Inoltre il nuovo formato si riferisce a sezioni doppiamente simmetriche mentre non è ben chiaro come regolarsi quando il profilo da verificare possegga un solo asse di simmetria o al limite nessuno.

         Il formato generale delle verifiche prevede due formule, una per lo sbandamento nel piano 1-2 ed una per lo sbandamento nel piano 1-3. Queste formule devono poi essere diversamente applicate a seconda che il profilo sia in classe 1 o 2 o in classe 3, ed a seconda che lo svergolamento sia considerato possibile o impedito. Inoltre le formule generali vengono poi a specializzarsi in due differenti approcci, che comportano due metodi differenti per il calcolo dei coefficienti: un formato denominato “Metodo 1”, e dovuto alla ricerca franco-belga, ed un formato denominato “Metodo 2” e dovuto alla ricerca austro-tedesca.

         Il formato generale delle verifiche è il seguente:

_bm110

_bm111

         I due metodi differiscono per il modo in cui vengono calcolati i coefficienti kij. Nelle formule precedenti le grandezze a denominatore cambiano in funzione della classe. Per la classe 1 e 2 si usano i moduli plastici, per la 3 quelli elastici e per la 4 l’area ed i moduli di resistenza efficaci. Le variazioni di momento D sono nulle se la classe non è la 4.

         Il verificatore è in grado di applicare entrambi i metodi, a scelta.

         Data la possibilità di eseguire i calcoli con entrambi i metodi, si consiglia di avvalersi di tale funzionalità come procedura standard onde migliorare il grado di affidabilità dei calcoli. Tra i due metodi quello maggiormente affidabile e preciso dovrebbe essere, nella maggior parte dei casi, il metodo franco-belga (il metodo 1).

         Vediamo nel seguito in che modo i due metodi provvedano a calcolare i coefficienti.

 

Metodo 1 (franco-belga)

 

         Le formule che danno i coefficienti kij sono molto complesse, in specie nel caso di dimensionamento plastico. Non è questa la sede per entrare nel dettaglio, ci si limita ad osservare che in questo approccio la dipendenza dei coefficienti da ciascun fenomeno fisico (plasticità, svergolamento, distribuzione di momento, ecc.) è chiaramente evidenziata da termini a questi associati. Particolare rilevanza hanno le formule che si riferiscono al calcolo dei coefficienti Cmi,0 per le quali (cfr. tabella A.2 della norma) esiste una dipendenza dalla freccia massima sotto i carichi applicati, almeno nel caso in cui la distribuzione di momento non sia lineare. La formula è questa:

_bm112

nella quale compare il massimo momento e la massima freccia d. La massima freccia d può essere valutata in varii modi. Il programma ne propone due: una frazione costante della luce ed un valore ottenuto integrando l’equazione della linea elastica.

         Si segnala che la formula per il coefficiente Czz presente nel testo della norma oggi (novembre 2007) disponibile, contiene un errore. Tale errore è stato corretto e non figura nel verificatore.

 

Metodo 2 (austro-tedesco)

 

         Nelle intenzioni degli Autori, il metodo austro tedesco dovrebbe consentire una maggior semplicità d’uso rispetto a quello franco-belga. In effetti la sua applicazione nei calcoli a mano è più semplice, benchè, a nostro parere, pur sempre proibitiva. Relativamente a questo metodo si deve segnalare una certa equivocità nella definizione dei coefficienti as ed ah, dovuta ad una non piena comprensibilità della tabella B.3. Anche nella tabella B.3 figura un errore corretto nel verificatore (nell’ultima riga ed ultima colonna il termine 0,9-…. Deve essere sostituito da 0,9+…). Un motivo di serio imbarazzo nell’applicazione del metodo è la ambiguità nella definizione dei coefficienti Cm legata alle differenti formule previste per il caso di “carico uniforme” e “carico concentrato”. In realtà, come è ben evidente, il caso normale è quello in cui sono presenti entrambi. Il programma assume sempre che il caso sia quello di carico uniforme essendo questo più severo dell’altro.

 

Metodo A Circolare 2 febbraio 2009, n. 617 C.S.LL.PP.

 

         Si tratta del vecchio metodo previsto dalle CNR 10011 con la differenza che a denominatore vengono usati moduli di resistenza che dipendono dalla classe del profilo. A partire dalla versione 5.10 tale metodo è stato aggiunto a quelli disponibili per compatibilità con le NTC 2008.

 

L’uso di checksolvers

 

         Il programma checksolvers è stato ampliato per consentire di eseguire controlli di elaborazione anche sul verificatore in accordo all’Eurocodice 3. Le nuove schede sono:

 

_TRESCOM    TNUM     CASE     KIND  TARGET

_TSTACOM    TNUM     CASE     KIND  TARGET

_BRESCOM    BNUM    CASE     KIND  TARGET

_BSTACOM    BNUM    CASE     KIND  TARGET

 

In cui CASE è il numero della combinazione, BNUM e TNUM sono il numero di elemento, KIND è il tipo di controllo (generalmente “CROSS”) e TARGET è il numero obiettivo. La scheda TRESCOM va a leggere il valore del massimo indice di sfruttamento a resistenza per elementi truss nella combinazione considerata; la scheda BRESCOM fa lo stesso ma per elementi beam. La scheda BSTACOM va a controllare l’indice di sfruttamento a stabilità per elementi beam. La scheda TSTACOM lo fa per elementi truss.

 

Tale funzionalità è molto importante poiché consente, ad ogni versione, di eseguire delle verifiche sulla bontà della elaborazione su un certo gruppo di casi test che siano stati messi a punto. Anche ciascun utente può, a sua discrezione, mettere a punto casi di prova.

 

Castalia srl ha messo a punto circa 100 casi test sul verificatore in accordo ad Eurocodice 3. Tali casi test sono consegnati insieme con il programma. La determinazione dei valori obiettivo è stata fatta con un lungo e attento lavoro che è confluito nelle schede di validazione.

 

 

Le schede di validazione

 

 

         Il lavoro di sviluppo e di attento studio della normativa ha portato, tra l’altro, alla creazione di ben 100 schede di validazione, ovvero alla analisi di 100 diverse situazioni di progetto e verifica relative sia alla resistenza che alla stabilità. Tale lavoro rappresenta un risultato di primissima importanza poiché costituisce una messe considerevole di dati a disposizione sia degli utenti che di un pubblico più ampio (ad esempio i Clienti degli utilizzatori del programma). Ad oggi non risulta siano disponibili schede di questo tipo relative alla norma EN 1993, per lo meno in Italia.

         Ben consapevoli della importanza della messa a punto di un simile insieme di test (i quali tra l’altro hanno consentito di approfondire notevolemente il testo della norma, nonché di coglierne numerosi limiti) si è deciso di far afferire queste 100 schede di validazione all’interno di una vera e propria pubblicazione ([2]). Per questo motivo, sino alla pubblicazione di dette schede all’interno di tale pubblicazione, queste schede di validazione non sono inserite nella documentazione del programma: esse saranno rese disponibili all’interno della documentazione del programma una volta che siano state ufficielmente pubblicate.

         Al momento le schede disponibili sono 100, delle quali 50 si riferiscono a verifiche di resistenza e 50 a verifiche a stabilità. Sono indagati sia il metodo 1 che il metodo 2 con una vasta gamma di profili. Ogni scheda presenta i dati di partenza, alcuni dei più importanti dati intermedi e gli indici di sfruttamento finali, così come sono stati calcolati a mano o mediante fogli Excel. Questi risultati sono poi comparati, con pieno successo, con quelli forniti dal programma. Non appena la paternità del lavoro non potrà più essere oggetto di discussione, e quindi dopo la pubblicazione formale, le schede saranno anche posizionate nel sito internet di Castalia.

 

 

Bibliografia

 

[1] Rugarli P. “La classificazione delle sezioni. Commento ad Eurocodice 3”, EPC LIBRI, 2007

[2] Rugarli P. “Calcolo di strutture in acciaio. EN1993-1-1”, EPC LIBRI, 2008

[3] Rugarli P. “Commento generale ad Eurocodice 3”, EPC LIBRI, 2008 (in stesura)

[4] ECCS “Rules for Member Stability in EN 1993-1-1, background documentations and design guidelines”, N°119, 2006

[5] Rondal J., Wurker K.G., Dutta D. “Structural stability of hollow sections”, Verlag TUV Rheinland, 1992

[6] M.A. Serna, A.Lopez et al. “Equivalent uniform moment factors for lateral-torsional buckling of steel members”, Journal of Constructional Steel Research, 62, 566-580, 2006