VERIFICHE A SFILAMENTO DEGLI ANCORAGGI IN BULLONATURE AD ANCORAGGIO

Se una bullonatura è classificata come un ancoraggio, accanto alle normali verifiche di resistenza su di essa vengono anche eseguite le verifiche allo sfilamento. In pratica la forza di trazione di ciascun bullone viene confrontata con un valore limite dipendente dalla norma usata (cfr. dialogo), generando così un indice di sfruttamento. Tale indice di sfruttamento è associato alla bullonatura, non al blocco-vincolo sul quale, verosimilmente, la bullonatura è ancorata. Come per gli altri casi questo indice di sfruttamento viene raffrontato a quello ottenuto, per la bullonatura, a seguito di altre verifiche, e, se maggiore, memorizzato insieme alla causa che lo ha prodotto.
In dettaglio le formule sono le seguenti:

Dove N è la trazione presente, e γ un coefficiente di sicurezza dipendente dalla norma scelta:
•1 per EC3, IS800LS, BS5950, SNiP e CNR agli stati limite
•1,333 per AISC-LRFD
•1,5 per CNR alle tensioni ammissibili
•1,666 per IS800WS
•2 per AISC-SD
Nel caso in cui sia stato definito un fattore per l'effetto leva maggiore di 1, le forze di trazione utilizzate per il controllo sono quelle del calcolo amplificate da tale fattore.
Se è presente una compressione la verifica è omessa in quanto si assume che vi sia un contrasto a reagire.
Il calcolo della forza limite FL dipende dal tipo di ancoraggio definito dall'utente e da alcuni parametri. E' possibile definire cinque diversi tipi di ancoraggio, che vengono calcolati in 5 modi diversi.
Tipo 1
Il meccanismo resistente è l'aderenza tra la barra rettilinea ed il calcestruzzo. Risulta:

dove:
fbd è la tensione tangenziale di aderenza progetto tra barra e calcestruzzo;
ϕ è il diametro della barra
a è la distanza minima tra la barra e la superficie libera terminale del blocco vincolo
ln è la lunghezza rettilinea di ancoraggio
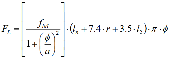
Tipo 2
Analogo al tipo 1 ma è presente un uncino, che aumenta la resistenza. Risulta:

dove:
fbd è la tensione tangenziale di aderenza progetto tra barra e calcestruzzo;
ϕ è il diametro della barra
a è la distanza minima tra la barra e la superficie libera terminale del blocco vincolo
ln è la lunghezza rettilinea di ancoraggio
r è il raggio di piega dell'uncino
l2 il tratto rettilineo dopo l'uncino
Tipo 3
Analogo al tipo 1 ma è presente un piattello terminale di contrasto (assunto di forma circolare). Risulta:

dove:
fbd è la tensione tangenziale di aderenza progetto tra barra e calcestruzzo;
fcd è la tensione normale di compressione di progetto del calcestruzzo;
ϕ è il diametro della barra
a è la distanza minima tra la barra e la superficie libera terminale del blocco vincolo
ln è la lunghezza rettilinea di ancoraggio
r è il raggio del piattello
Tipo 4
Analogo al tipo 3 ma il meccanismo resistente prevede un conoide di distacco del calcestruzzo. Si assume in sostanza la formula presente in Eurocodice 2, §6.2 assumendo la massima forza consentita da quella formula e controllando che siano rispettate adeguate limitazioni dimensionali. Risulta:

dove:
fcd è la tensione normale di compressione di progetto del calcestruzzo;
a è la distanza minima tra la barra e la superficie libera terminale del blocco vincolo
ln è la lunghezza rettilinea di ancoraggio
r è il raggio del piattello
Il programma controlla che le limitazioni dimensionali presenti siano soddisfatte e quindi usa anche a, r ed ln.
Tipo 5
Si tratta di un caso in cui l'utente vuole direttamente specificare il valore desiderato per FL (che andrà poi diviso per γ al fine di ottenere Fd).
-----------------------------
C.S.E. - 2001-2022 - Copyright Castalia srl - Milan - Italy - www.castaliaweb.com