Spettro di Risposta con Fattore di Errore

 

Paolo Rugarli  - Ingegnere Strutturista Castalia srl

 

Sommario

 

Questo articolo esplicita gli errori commessi sugli spostamenti e sulle azioni interne in funzione degli errori commessi sulla intensità di massa, di rigidezza, sul fattore di struttura e sulla frequenza. Viene proposto un metodo ingegneristico per modificare i risultati di una analisi a spettro di risposta al fine di inviluppare gli errori sugli spostamenti e sulle azioni interne.

 

Summary

 

This paper deals with mass intensity and stiffness intensity error consequences, while using response spectrum analysis. Explicit formulae showing displacements and internal stresses dependency on errors on mass and stiffness are presented. A simplified method to keep into account errors without re-running modal analyses is proposed.

 

 

Parole Chiave

Spettro di risposta, errore, Eurocodici, EC8

 

Keywords

Response spectrum, error, Eurocodes, EC8

 

 

 

1        Premessa

 

         Il metodo dello spettro di risposta è oggi il metodo di riferimento per i calcoli di verifica delle strutture in zona sismica. Come è noto il metodo viene impiegato eseguendo una o più analisi modali con il metodo degli elementi finiti. Calcolati in questo modo i periodi dei modi di vibrare, le ascisse, vengono poi valutate le ordinate impiegando le curve di spettro proposte dalle varie normative. In questo modo si valutano i massimi effetti del sisma di progetto su ciascun modo, effetti che vengono poi combinati tra loro per mezzo di formule di combinazione, in genere di tipo quadratico (SRSS con cluster factor, CQC).

         Le numerose incertezze presenti sui dati di partenza (masse, rigidezze, dimensioni geometriche, fattore di struttura) fanno sì che sia le ascisse dello spettro T, sia le ordinate a parità di ascissa C(T, q) siano in realtà solo plausibili approssimazioni.

         Si propone pertanto di tener conto ingegneristicamente della presenza di errori nella valutazione dei periodi mediante la introduzione di opportuni fattori di errore, che tengano in conto la possibilità che masse, rigidezze e fattore di struttura abbiano valori intorno a quelli nominali ma non coincidenti con essi.

         La precisione con la quale i programmi di calcolo valutano la risposta sismica è ampiamente fuorviante. Le ascisse devono essere considerate volenterose approssimazioni e non valori “esatti”. Ne consegue che si dovrà indagare quel che succederebbe anche nel caso di periodi prossimi (superiori o inferiori) a quelli nominalmente calcolati.

         In questo lavoro viene proposto un metodo ingegneristico per tener conto di questo fatto senza dover rieseguire n analisi modali.

 

2        Fattori di errore

 

         Supponiamo di aver quantificato una certa grandezza “d” nel modo che a noi analisti, in una certa fase del progetto, potrà sembrare il migliore. Contrassegnamo con un “*” questa grandezza nominale d*, e invece immaginiamo che la grandezza “d” assuma un certo altro valore a noi ignoto, che meglio potrebbe, nellambito del modello adottato, sposare le misure sperimentali. Sia “d” tale valore ottimo incognito.

         Possiamo definire “fattore di errore su d, fed” un numero (sperabilmente prossimo ad 1) tale per cui

d=fedd*

         Il fattore di errore così definito dipende, per ciascuna grandezza “d”, da una moltitudine di circostanze. Volendo, in certi casi, sarà possibile eseguire una campionatura statistica pertinente (ovvero direttamente legata al caso allo studio) ed in tal modo stimare certi numeri convenzionali che chiamiamo “probabilità”. In altri casi si pretenderà, in base ad un giudizio soggettivo, che altre campionature statistiche, eseguite in altre situazioni, siano pertinenti ed adattabili al caso allo studio, e quindi si assegneranno a “d” le medesime caratteristiche statistiche valutate per grandezze identiche in altri casi o per grandezze più o meno vagamente simili, sempre in altre situazioni. In altri casi ancora non si disporrà di alcuna campionatura statistica, non sarà economicamente possibile farla, non ci sarà modo di farla per ragioni di tempo, oppure, ancora, non la si potrà fare perché mancherà il fondamentale requisito della ripetibilità e della campionabilità.

         Non è questa le sede per fare un ragionamento sulla probabilità, anche se chi scrive ritiene che farne uno sarebbe quanto mai urgente. Basti dire che la pretesa di cancellare il “giudizio ingegneristico” dalla lista delle accettabili modalità per emettere un parere o fare una stima, lasciando il posto unicamente a campionature statistiche delle quali si pretenderebbe maggior rigore, non è a parere di chi scrive condivisibile.

         Il fattore di errore è una stima ingegneristica della nostra ignoranza. Una stima sostanzialmente soggettiva, che deve essere usata dal progettista per prendere le opportune distanze dai risultati del modello. Tutto qui.

 

3        Natura degli errori e conseguenze

 

         Supponiamo che siano definiti i fattori di errore su masse e rigidezze, fem ed fek. In tal caso nella semplice ipotesi di oscillatore semplice, potremo scrivere

_bm524

_bm525

 

         La precedente relazione si può esprimere sinteticamente nel seguente modo:

_bm526

         Poiché è del tutto normale che nelle situazioni reali dei progetti la massa e la rigidezza siano note solo con (ampi) margini di approssimazione, ne consegue che il periodo sarà affetto da altrettanti possibili errori. Sviluppando in serie nellintorno di f=1, si ottiene la seguente stima semplificata:

feT=1+0.5(fem-fek)

         Naturalmente analoga formula è ottenibile per feω:

feω=1+0.5(fek-fem)

         Ad esempio supponiamo di avere un errore del 10% sia su massa che su rigidezza, ma tale per cui la massa sia minore di quella stimata e la rigidezza maggiore. Il periodo nominale T* sarà affetto da un errore del 10% circa anchesso, il che vuol dire che se avremo calcolato ad esempio T*=1.0 sec, in realtà potremmo avere T=0.9sec.

 

         Passando in rapida rassegna alcune delle possibili cause di errore nei modelli di calcolo che costruiamo, troviamo i seguenti.

 

       La massa “m*” viene a dipendere dalla massa dei permanenti più la massa dei variabili. A parte le ignoranze sugli effettivi valori delle masse dei permanenti, le masse dei variabili nel momento pertinente (o nei momenti pertinenti) sono ignote per definizione. Mentre per certe tipologie di strutture tali masse “variabili” sono una minima quota rispetto alle totali, per altre questo non è vero affatto (teatri, biblioteche, serbatoi, scaffalature industriali, ecc. ecc.).
       Anche immaginando di conoscere lintensità delle masse presenti sul modello, queste possono distribuirsi in molti modi diversi sulla struttura, non solo perché così avviene fisicamente- vedi anche il problema della eccentricità “accidentale”-, ma anche perché così può avvenire nella modellazione (approccio lumped e consistent, ad hoc lumping, optimal lumping, metodo del “maxi nodo”ecc. ecc.).
       Le rigidezze “k” dipendono direttamente dalle caratteristiche del materiale. Tali caratteristiche sono relativamente precise nel caso dellacciaio, relativamente imprecise, o, a voler essere sinceri, un puro atto di fede nel caso del calcestruzzo armato, dove gli errori su E e su G possono essere assai rilevanti [2].
       Le rigidezze “k” dipendono dal grado di infittimento della mesh, in specie se sono presenti pareti di taglio e nuclei di controvento. Esse dipendono inoltre dal tipo di elemento finito adoperato e dalla sua distorsione nella mesh (gli errori dovuti alla distorsione degli elementi possono arrivare a diversi punti percentuali, in specie sui modi più alti).
       Come è noto le rigidezze dipendono fortemente dal modo in cui è fatto il modello, in specie se sono o no stati tenuti in conto gli estremi rigidi degli elementi. Ad esempio si sono trovati errori sulle frequenze fino al 14% con elementi alti 1/20 della luce per il solo fatto di modellare o meno gli estremi rigidi ([1]).
       Leffetto delle partizioni interne e della ampiezza delle oscillazioni sul periodo delle strutture reali è marcato ([3]). Tali partizioni interne o non sono tenute in conto, o, se lo sono, attualmente sono prese in considerazione solo mediante rozzi schemi semplificativi.
       Linterazione suolo struttura viene a dipendere da fattori di assai difficile valutazione come quelli geotecnici, e comunque con risultati ampiamente incerti. Detto G il modulo di elasticità tangenziale del semispazio elastico equivalente, il fattore di errore sul periodo accoppiato viene a dipendere dalla radice quadrata del fattore di errore su G (cfr. [1]).

 

Tutte queste ragioni, ed altre ancora, devono far chiaramente intendere che usiamo modelli approssimati e largamente convenzionali, e quindi i periodi calcolati dai programmi sono solo volenterose approssimazioni.

 

Le approssimazioni sul periodo non sono purtroppo le uniche. Luso di spettri di risposta di progetto ottenuti mediante il fattore di struttura “q” introduce unaltra causa di errore e certo non trascurabile. E infatti ben noto che la valutazione del fattore di struttura è oltremodo difficile e può dare luogo solo a valutazioni di massima. Vorremo quindi introdurre, accanto ad un fattore di struttura q* di miglior stima, un prudenziale fattore di errore feq, in modo che il valore ottimale incognito sia q*feq.

Contrariamente a quanto avviene per le altre azioni, lazione sismica non viene fattorizzata, o meglio, viene fattorizzata mediante un coefficiente γI che tiene in conto limportanza dellopera, ma in nessun modo gli errori sul modello. Daltro canto le ordinate dello spettro e la sua forma tengono in conto errori di altra natura, non gli errori nella valutazione dei periodi, che sono in quella sede un dato, non un risultato.

Le azioni interne valutate col metodo dello spettro di risposta entrano quindi direttamente nelle combinazioni di verifica, e queste dipendono direttamente dai periodi calcolati senza che siano normalmente introdotte correzioni di alcun tipo.

Nel seguito vedremo invece come errori sul periodo possano portare a sensibili scarti nelle quantità calcolate.

 

4        Spettri di risposta EC8 con fattori di errore

 

4.1        Fattore di errore su C

 

         In questo paragrafo verranno scritte le formule che danno il coefficiente di risposta secondo EC8 esplicitando i fattori di errore su massa e rigidezza. In quanto segue “C” è il coefficiente di risposta, ovvero un numero adimensionale. Ragioniamo per ora ancora sulloscillatore semplice.

 

per 0<T<Tb

_bm527

per Tb <T < Tc

_bm528

per Tc < T < Td

_bm529

per Td < T

_bm530

 

Da quanto precede è possibile valutare il rapporto tra C* e C, e quindi dare il fattore di errore su C, feC, in funzione dei fattori di errore su massa, rigidezza e fattore di struttura.

Immaginiamo che il periodo T* (che dà C*) vari a causa degli errori su m e k, in modo da dare un periodo T diverso da T* e quindi un coefficiente di risposta C diverso da C*. Quale sarà il rapporto feC C/C*? In che modo varierà C*?

Per semplicità faremo lipotesi che T cada nello stesso intervallo di T*, è evidente che così in generale non sarà. Chi scrive ha messo a punto un programmino che fa questo lavoro tenendo in conto i salti di intervallo (cfr. paragrafo successivo), ma questo aspetto non è davvero importante per i ragionamenti che si devono fare.

 

 

per 0<T<Tb

_bm531

per Tb <T < Tc

_bm532

per Tc < T < Td (senza tener conto della limitazione C < 0.2 agmax/g)

_bm533

per Td < T (senza tener conto della limitazione C < 0.2 agmax/g)

_bm534

 

         Abbiamo espresso il fattore di errore su C in funzione degli errori su m e k ed in funzione dellerrore su q.

         La formula più complicata è anche quella più inutile: raramente il periodo è così breve da essere inferiore a TB.

 

4.2        Fattore di errore sullo spostamento massimo

 

         Ricordando come funziona il metodo dello spettro di risposta, possiamo dire che lo spostamento massimo delloscillatore, X, sarà ottenuto mediante la relazione seguente:

X= Cmg/k=Cg/ω2=CgT2/(4 π 2)

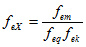
dalla quale è facile estrarre il fattore di errore sullo spostamento massimo feX in funzione degli altri fattori di errore

feX=feCfeT2

 

         Sostituendo le espressioni trovate per feC nella espressione precedente troviamo

 

per 0<T<Tb

_bm535

per Tb <T < Tc

_bm536

per Tc < T < Td (senza tener conto della limitazione C < 0.2 agmax/g)

_bm537

per Td < T (senza tener conto della limitazione C < 0.2 agmax/g)

_bm538

 

Dove la complicatezza della prima formula è elisa dal fatto che è raramente utile.

 

4.3        Fattore di errore sulla forza di richiamo elastico massima

 

         La massima forza di richiamo elastico subita dalloscillatore è data da

F=kX=Cmg

pertanto il fattore di errore sulla forza di richiamo F è dato da

feF=femfeC

Sempre nellipotesi in cui non ci siano salti di intervallo, possiamo scrivere le seguenti formule per il fattore di errore:

per 0<T<Tb

_bm539

per Tb <T < Tc (senza tener conto della limitazione C < 0.2 agmax/g)

_bm540

per Tc < T < Td (senza tener conto della limitazione C < 0.2 agmax/g)

_bm541

per Td < T

_bm542

 

4.4        Valutazione automatica dei fattori di errore

 

In quanto precede si è fatta lipotesi che nel passare dal periodo nominale T* al periodo ottimo T non si dovesse cambiare formula nella identificazione del coefficiente di struttura.

Tenere contemporaneamente in conto il possibile salto di intervallo e le limitazioni su C (quando sarebbe C < 0.2 ag/g) è abbastanza complicato, si tratta di calcoli noiosi e quindi chi scrive ha approntato un programmino, denominato, non a caso, SPE (SPectrum Error).

Il programma funziona così. Prima si scrivono i valori nominali di T e di q, T* e q*. Poi si danno i valori minimo e massimo per i fattori di errore sulla massa, sulla rigidezza e sul coefficiente di struttura. I fattori di errore “minimi” sono numeri <= 1, e tengono in conto la possibilità che in realtà i valori “giusti” siano inferiori ai valori di miglior stima. I fattori di errore “massimi” sono numeri >= 1 e tengono in conto la possibilità che i valori “giusti” siano superiori a quelli di miglior stima.

Ad esempio, un fattore di errore su q minimo pari a 0.95 ed un fattore di errore su q massimo pari a 1.1, implicano che:

0.95q*  q  1.1q*

Prendiamo ad esempio i dati della figura seguente:

_bm543

Figura 1

Immaginiamo di aver calcolato per il periodo di oscillazione il valore T*=1sec. Questo calcolo è stato fatto immaginando di conoscere la massa m con un fattore di errore compreso tra 0.9 ed 1.1, il che vuol dire stimare daver fatto un errore del 10% al massimo sulla massa; per la rigidezza si immagina che il fattore di errore sia compreso tra 0.95 e 1.05, ovvero che sulla rigidezza ci sia un errore del 5%.

Sulla base della tipologia strutturale, ed applicando le regole della norma, abbiamo stimato un fattore di struttura pari a 3, ma immaginiamo che ci possa essere un errore del 10% (2.7<q<3.3).

Non paiono numeri irragionevoli, tenuto conto del modo in cui sono ottenuti i dati sui quali lavoriamo. Supponiamo che lo spettro sia di tipo 1, ed il suolo di tipo C, che la PGA sia 0.35. Quale errore ci aspettiamo di commettere sugli spostamenti e sulle forze di richiamo elastico massimi?

Premendo il bottone “Calcola fattori di errore!” si ottiene la risposta che si vede nella figura seguente:

_bm544

Figura 2

Questo risultato, un semplice esempio, sembra molto interessante: lerrore sugli spostamenti va da +16% a -20%, e la forza massima di richiamo elastico potrebbe egualmente essere del 14% maggiore come del 12% minore.

Un 20% di errore sul valore dello spostamento non è poco. Se anziché partire da T=1sec partissimo da T=0.5sec a parità di tutti gli altri dati - otterremmo i risultati della figura seguente

_bm545

Figura 3

 

5        Estensione al caso di sistemi a molti gradi di libertà

 

Il caso di un sistema a molti gradi di libertà è ovviamente assai più complesso di quello di un oscillatore semplice. Esistono tuttavia alcune importanti cause di errore sulla stima della frequenza o del periodo che possono essere ridotte ad un errore sulla quantità di massa e di rigidezza, mentre nel caso più generale ci dovremo accontentare di valutare questo errore sulla frequenza direttamente mediante stima.

 

5.1        Errori scalari lato massa, o assimilabili

 

         Se si immagina che a partità di distribuzione di massa si abbia a che fare , anziché con una matrice delle masse M*, con una matrice delle masse variata aM*=M=femM*, dove “a” è uno scalare che di fatto è il fattore di errore sulla massa già visto, è facile dimostrare che i modi non variano e che i periodi di tutti i modi cambiano nel seguente modo:

_bm546

e quindi, come per loscillatore semplice in caso di errore sulla sola massa

_bm547

         Nel caso in cui la variazione di massa dovuta allerrore commesso non sia tale da rispettare la distribuzione, si può vedere con qualche passaggioche, detta M* la matrice delle masse nominale, detta ΔM la variazione di massa dovuta allerrore, detto * il vettore che dà la forma del modo nominalmente calcolata, e detto  il vettore che dà la forma del modo “esatta”, risulta

_bm548

         Se la variazione di massa è tale da non far variare in modo significativo la forma del modo (ipotesi molte volte ragionevole per il primo modo di edifici), si può stimare tale fattore di errore nota ΔM e nota la forma del modo nominale con la seguente formula:

_bm549

Nella precedente formula si è definito fem in funzione di opportuni prodotti matriciali e scalari tra matrici e vettori. In questo caso, analogamente a quanto visto per loscillatore semplice, esiste uno scalare associato alla massa, fem,  che dà conto della variazione di frequenza dovuta alla variazione di massa causata da  un possibile errore.

         Nel caso di edifici, immaginando la forma del modo lineare, i piani di eguale altezza, e dando ad m*i il significato di massa di piano ed a Δmi il significato di variazione della massa di piano, la precedente formula porta alla seguente stima del fattore di errore sul periodo

_bm550

ed il fattore di errore sulla massa uno scalare- può essere in questo caso definito come come

_bm551

         Questi fattori di errore hanno un senso ingegneristico, e vogliono stimare la variazione di periodo dovuta ad errori sulla massa.

 

5.2        Errori scalari lato rigidezza

 

         Il modulo di elasticità assunto per il materiale entra direttamente nella espressione della matrice di rigidezza. Se lo schema resistente prevede un unico materiale (come spesso avviene) si può facilmente mostrare che, detto feE il fattore di errore sul modulo di Young, risulta su tutti i modi

_bm552

ovvero il fattore di errore sul modulo di Young gioca il ruolo che il fattore di errore su k gioca nel caso di oscillatore semplice.

         Lerrore sul modulo di Young nel caso del calcestruzzo può essere molto forte. E noto che le formule di normativa fanno dipendere E dalla resistenza cubica o cilindrica caratteristica, ma le leggi che fissano tale dipendenza sono soggette a dispersioni significative. Inoltre il reale valore di resistenza è in larga parte ignoto, dipenendo da una miriade di fattori molti dei quali assolutamente imprevedibili o non governabili, di fatto, da parte del progettista. Pertanto su E sono da attendersi errori anche del 20 o del 30%.

 

         Nel caso dellacciaio gli errori sono certamenti minori, ma comunque non inferiori ad un 3-5%. Basti dire che mentre le CNR10011 danno ad E il valore di 206000N/mmq, lEC3 usa il valore 210000N/mmq, con uno scarto tra le due norme pari al 2%.

 

         Nel caso in cui la struttura sia costituita da materiali diversi, se non è possibile attribuire comunque un materiale di riferimento alle parti resistenti alle azioni orizzontali, è possibile stimare ingegneristicamente (del resto, questo stiamo facendo) il fattore di errore complessivo mediante modelli di molle in parallelo (k=k1+k2) o in serie (k=k1k2/(k1+k2)).

 

5.3        Il modello di errore complessivo

 

         Terremo conto degli errori di modellazione su sistemi a molti gradi di libertà mediante i seguenti fattori di errore:

 

1.        fem . Dà una misura dellerrore nella stima della quantità di massa (non dellerrore nella sua distribuzione, a meno che le forme modali non possano reputarsi sostanzialmente invariate al variare della distribuzione di massa).
2.        feE. Dà una misura dellerrore sulla rigidezza legato allerrore sul modulo di Young.
3.        fea. Dà una misura degli errori aggiuntivi sulla stima della frequenza dovuti ad altri fattori. A rigore occorre sempre fare lipotesi che questi errori non comportino variazioni nella forma del modo.
4.        feq. Dà una misura degli errori sul fattore di struttura.

 

Con queste ipotesi il fattore di errore sul periodo risulta

_bm553

 

Se generalizziamo i ragionamenti fatti nel caso delloscillatore semplice a questo modello di errore sui sistemi a molti gradi di libertà, otteniamo le seguenti formule di errore per gli spostamenti modali e per la risultante delle forze apparenti modali (si omette di dare il risultato per lintervallo T< TB):

 

Periodo

 Periodo

feT

 Spostamenti

feX

 Taglio alla Base

Azioni interne

fe?

TB<T<Tc

 _bm554

 _bm555

 _bm556

TC<T<TD

 _bm557

 _bm558

 _bm559

TD<T

 _bm560

 _bm561

 _bm562

per T < T

 _bm563

 _bm564

 _bm565

Tabella 1: fattori di errore sul periodo, lo spostamento e la forza di richiamo in funzione dei fattori di errore sulla massa, la rigidezza, il fattore di struttura e la frequenza

 

         Lultima riga della tabella corrisponde alla situazione in cui debba scattare la limitazione prevista dalle norme, che impongono che C sia maggiore o eguale di 0,2 volte la PGA in unità g. Di fatto questa limitazione impone un nuovo “pianerottolo” e quindi le formule della ultima riga coincidono con quelle della prima.

 

6        Esempi

 

         Per verificare la validità di quanto trovato è stato messo a punto un semplice modello di portale, sul quale sono stati simulati errori sulla massa e sul modulo di elasticità del materiale. Si sono poi raffrontati i diversi valori ottenuti mediante un programma di calcolo con i valori stimati mediante le formule proposte.

 

6.1        Studio numero 1: tratto BC dello spettro (plateau)

 

_bm566

Figura 1 Mesh relativa al portale allo studio

 

         Consideriamo un portale con luce di 5m ed altezza di 4m, realizzato con profili quadrati 30x30cm, materiale nominale calcestruzzo con E=28500N/mmq, ν=0.2. La massa è posta sul traverso e corrisponde ad un carico distribuito nominale  di 30kN/m, per un totale di 150kN, 15291Kg. Pilastri e trave sono stati modellati ciascuno con 2 elementi finiti, per un totale di 6 elementi finiti di tipo beam.Si sceglie di studiare la struttura sotto lazione di un sisma orizzontale impiegando gli spettri di tipo 1 dellEC8, accelerazione di riferimento pari a 0.35g, suolo di tipo B e fattore di struttura q* pari a 3. Il periodo corrispondente al primo e fondamentale modo in X (vedi figura 1) è pari a 0.359sec, e quindi tale da corrispondere al pianerottolo dello spettro per il tipo di suolo in esame (C=0.35x2.5x1.2/3=0.35).

La risposta strutturale ottenuta impiegando il metodo dello spettro di risposta sul solo primo modo è quella indicata nella successiva tabella, in corrispondenza alla riga “FERRORE1”, che è il nome del modello adottato. Si ha uno spostamento in sommità pari a 11,21mm ed un momento al piede del pilastro pari a 61.67kNm, un taglio alla base pari a 52.50kN (=150x0.35).

 

Modello

Note

Periodo

Spostamento

Momento al piede

Taglio al piede

FERRORE1

Riferimento

E=28500N/mm2

M=15.291t

0,359 sec

11,21mm

61,67 kNm

52.50kN

FERRORE2

E=0.9Eriferimento

0,379 sec

12,46m

61,67 kNm

52.50kN

FERRORE3

M=1,1Mriferimento

0,377 sec

12,33mm

67,84 kNm

57.74kN

Tabella 2- Studio numero 1, risultati delle analisi

 

6.1.1        Prima variazione

 

Un primo modello variato (FERRORE2) immagina che il modulo di elasticità del calcestruzzo sia del 10% inferiore al valore iniziale, e cioè pari a E=25650N/mmq. I risultati ottenuti sono quelli della seconda riga della tabella 2, ed indicano che lo spostamento si è accresciuto di circa il 10% mentre il valore del momento e del taglio alla base è rimasto invariato.

Se contrassegnamo con l”*” i dati del modello iniziale e senza asterisco i dati del modello variato, possiamo interpretare la variazione dicendo che essa dipende da un errore nella stima del modulo di elasticità del materiale. Sia fE il fattore di errore su E. Nel nostro caso fE=0.9.Tutti gli altri fattori di errore siano pari ad 1. Il fattore di errore sul periodo è pari a (cfr. tabella 1, seconda riga, seconda colonna, quindi cella 2,2)

_bm567

quindi possiamo dire che

_bm568

come in effetti è (vedi tabella 2, cella 3,3).

Vediamo ora il fattore di errore sullo spostamento. Il nostro errore sul modulo di elasticità porta a sottovalutare la risposta. In effetti, il rapporto tra i due spostamenti secondo le nostre previsioni (cfr. tabella 1) dovrebbe essere pari a

_bm569

in effetti si constata che

12.46/11.21=1.11

Per quanto riguarda lo sforzo questo non viene amplificato ma resta eguale, infatti il fattore di errore su di esso non dipende da fE in questo caso (cfr. tabella 1). Ciò dipende dal fatto che se è vero che gli spostamenti si sono accresciuti di un fattore feX=1/feE, è anche vero che le rigidezze sono diminuite di un fattore feE. Pertanto, il prodotto di spostamenti per rigidezze è rimasto costante.

Il taglio alla base non dipende da feE e quindi resta anchesso inalterato.

 

6.1.2        Seconda variazione

 

         In questo caso poniamo feM=1.1 e lasciamo eguali ad 1 tutti gli altri fattori di errore. In altre parole supponiamo che la massa del modello nominale sottostimi del 10% la massa “ottima”. Che succede? Il periodo, secondo le nostre stime (siamo nellintervallo tra TB e TC),  si accresce di un fattore

_bm570

infatti

0.377/0.359=1.050

eguale a 1.049 nei limiti degli errori di troncamento ed arrotondamento.

         Lo spostamento prevediamo si accresca di un fattore pari a feM, e quindi 1.1. Infatti:

12.33/11.21=1.0999

Gli sforzi dovrebbero crescere allo stesso identico modo e infatti

67.84/61.67=1.1

analogamente per il taglio alla base.

 

6.2        Studio numero 2: tratto CD dello spettro

 

Studiamo un nuovo insieme di tre problemi nei quali le stesse variazioni sono ripetute ma avendo una massa iniziale pari a 60kN/m. Laumento di massa nominale fa aumentare il periodo così da portarci nellintervallo CD dello spettro. In questo caso si trovano i risultati della tabella successiva.

 

Modello

Note

Periodo

Spostamento

Momento al piede

Riferimento

E=28500N/mm2

M=30.582t

0,5078 sec

22,07mm

121,4 kNm

FERRORE5

E=0.9Eriferimento

0,5353 sec

23,27mm

115,2 kNm

FERRORE6

M=1,1Mriferimento

0,5326 sec

23,15mm

127,40 kNm

Tabella 3. Studio numero 2, risultati delle analisi

 

6.2.1        Prima variazione

 

Un primo modello variato (FERRORE5) immagina che il modulo di elasticità del calcestruzzo sia del 10% inferiore al valore iniziale, e cioè pari a E=25650N/mmq. I risultati ottenuti sono quelli della seconda riga della tabella. In questo caso feE = 0.9 e gli altri f sono pari ad 1.

         Risulta.

feT=1/feE=1.0540.5353/0.5078=1.054

feX=1/feE=1.05423.27/22.07=1.054

feσ=feE=0.9486115.2/121.4=0.9489

 

e quindi si vede che tutte le formule sono verificate.

 

6.2.2        Seconda variazione

 

         Anche in questo caso aumentiamo la massa (FERRORE6), ma siamo ora nellintervallo CD. feM=1.1, gli altri f =1.

feT=feM=1.04880.5326/0.5078=1.0488

feX=feM =1.048823.15/22.07=1.0489

feσ=feM =1.0488127.4/121.4=1.0489

 

e quindi si vede che tutte le formule sono verificate.

 

6.3        Studio n° 3: tratto D- dello spettro

 

 

Infine ci portiamo nellintervallo T> TD aumentando ancora la massa. Portiamo la massa a 1200kN/m ottenendo i risultati della tabella successiva.

 

Modello

Note

Periodo

Spostamento

Momento al piede

Riferimento

E=28500N/mm2

M=611.64t

2,271 sec

493,4 kNm

FERRORE8

E=0.9Eriferimento

2,3940 sec

99,64mm

493,4 kNm

FERRORE9

M=1,1Mriferimento

2,3821 sec

98,64mm

542,7 kNm

Tabella 4. Studio numero 3, risultati delle analisi

 

Contrariamente a quanto predetto dalle formule che sono state ricavate per T> TD (riga quarta della tabella 1), lo spostamento aumenta sia aumentando la massa che diminuendo la rigidezza. Ciò dipende dal fatto che le curve date per gli spettri vengono abbandonate quando si riscontra, come nel nostro caso, C < 0.2 agmax/g.

Infatti per T=2.271 sec si avrebbe

C/gagmax=S 2,5 TCTD/(qT2)=1,2x2,5x0.5x2/(3x2.2712)=0.1938<0,2

Il periodo limite al di sopra del quale si ha questa limitazione è dato in questo caso da

T=(10/3)= 3.3333=1.825sec

In questo caso, quindi, gli spettri vengono ad assumere un valore costante ed indipendente dal periodo in analogia a quanto avviene per il tratto BC dello spettro. Se proviamo ad applicare le formule previste per il tratto in cui si è sul pianerottolo abbiamo le seguenti formule:

feX=_bm571

feσ=_bm572

 

6.3.1        Prima variazione

 

Applicando le formule relative al tratto BC, per le ragioni chiarite, troviamo (ricordando che feM=1, feE=0.9):

feX= 1/0.9=1.111

feσ= 1

Ed infatti

98.64/89.68=1.09991.1

e gli sforzi non variano.

 

6.3.2        Seconda variazione

 

In questo caso fem=1.1, feE=1 e si ottiene:

 

feX= 1.1/1=1.1

feσ= 1.1/1

Ed infatti

99.64/89.68=1.111

542.7/493.4=1.09991.1

 

6.4        Conclusioni

 

         Sulla base degli esperimenti numerici fatti, risultano verificate le formule predittive di tabella 1, le quali consentono di conoscere la variazione degli spostamenti e degli sforzi modali, noti che siano i fattori di errore sulla massa e la rigidezza, nonché sul fattore di struttura e sulla frequenza (fattore di errore aggiuntivo fea). Queste formule possono quindi essere impiegate per perturbare i risultati di un calcolo basato su valori nominali al fine di stimare ingegneristicamente valori a favore di sicurezza degli spostamenti e delle azioni interne.

         E da notare che questi errori sugli spostamenti e sulle azioni interne possono essere rilevanti. Ad esempio, si immagini di avere stimato

fem=0.85-1.15

feE=0.85-1.15

feq=0.9-1.1

fea=0.95-1.05

 

Tratto di spettro

feX

feσ

BC

1.67

1.28

CD

1.36

1.34

D-

1.11

1.41

Limitazione C<0.2agmax/g attiva

1.67

1.28

Tabella 5. Esempio di fattori di errore su spostamento e azioni interne per errori del 15% su massa e modulo di Young, 5% sulla frequenza e 10% sul fattore di struttura.

 

ovvero un 15% di errore sulla massa, un 15%di errore sul modulo di Young, un 10% di errore sul fattore di struttura ed un 5% di errore sulla frequenza dovuto alla modellazione.

Si fa presente che un errore del 15% sulla massa, in molti casi di carichi variabili non piccoli, può tranquillamente verificarsi: si pensi a una scaffalatura industriale o a una biblioteca, impiegando i coefficienti probabilistici proposti dallEC8 (per i magazzini e gli archivi il calcolo è fatto con il valore di massa associata al valore quasi permanente, ovvero alla massa associata al carico caratteristico ridotto del 20%, 2i=0.8), la massa potrebbe essere 1/0.8=1.25 volte maggiore di quella messa nel modello.

Analogamente, un errore del 15% sul modulo di elasticità potrebbe tranquillamente verificarsi, date le incertezze tipiche del calcolo nel caso del calcestruzzo gettato in opera.

         Combinando nel modo più sfavorevole queste incertezze si possono ottenere gli imbarazzanti risultati di tabella 5, i quali pare rendano conto meglio di qualsiasi discorso delle attuali incertezze nelleseguire calcoli sismici.

         La conclusione logica di quanto abbiamo visto è che piuttosto che cercare di quantificare le azioni e gli spostamenti alla terza o quarta cifra significativa, dovremmo accontentarci di quantificarle alla seconda, eppoi amplificare conseguentemente. La cura maggiore, più che nella valutazione delle cifre significative, andrà posta nei controlli di esecuzione e nei dettagli costruttivi.

         Nel successivo paragrafo verrà pertanto proposto un metodo atto a fornire possibili valori estremali coi quali fare il calcolo, noti che siano (ingegneristicamente, non probabilisticamente) i valori estremali delle intensità di massa e rigidezza, nonché di frequenza e fattore di struttura.

 

 

7        Spettro di risposta con fattore di errore

 

La procedura che viene qui proposta, denominata “spettro di risposta con fattore di errore” consiste nel perturbare i risultati ottenuti in termini di spostamento e di azioni interne mediante i fattori di errore stimati a partire da ragionevoli valutazioni per gli errori su massa e rigidezza. Non si ha nessuna pretesa di “precisione”, ma si vuole tenere conto del fatto che i  numeri ottenibili con complicati modelli agli elementi finiti sono in realtà da considerare affetti da errori inevitabili, lordine di grandezza dei quali si desidera almeno parzialmente stimare.

Facendo la ipotesi (generalmente verificata) che sia a favore di sicurezza sovrastimare gli sforzi e gli spostamenti, il metodo che qui si propone funzionerebbe così, quando impiegato “a mano” da un analista strutturale.

 

1)                Preparare un modello agli elementi finiti e eseguire una analisi a spettro di risposta coi valori nominali di massa, rigidezza e fattore di struttura.

2)                Valutare ingegneristicamente la quantità di errore atteso sullintensità della massa (fem), del modulo di elasticità (feE) e sul fattore di struttura (feq). Valutare lerrore atteso sulla frequenza in seguito a problemi di discretizzazione e di modello (fea).

3)                Stimare mediante procedure di calcolo tipo SPE il fattore di errore atteso ( in generale > 1) sugli spostamenti e sugli sforzi del modo dominante (quando esistente) così come stimati nominalmente dal metodo.

4)                Correggere gli spostamenti e gli sforzi incrementandoli del fattore corrispondente, eventualmente assegnandolo come moltiplicatore aggiuntivo al caso di carico sismico.

 

Si noti che la procedura funzionerebbe in modo analogo anche nel caso in cui fosse impiegato il metodo della analisi sismica statica equivalente.

 

Volendo delineare  invece come dovrebbe essere programmato un calcolatore per eseguire una analisi modale con spettro di risposta con fattore di errore si indicano i seguenti passi:

 

1)                Eseguire una normale analisi modale con spettro di risposta e valutare tutti gli effetti dei singoli modi.

2)                Per ogni modo valutare il fattore di errore su spostamenti e azioni interne a partire da opportuni fattori di errore su massa, rigidezza, frequenza e fattore di struttura (unici per tutta la struttura), forniti dallutente. Tale valutazione viene fatta in affinità a quanto fatto dal programma SPE e dipende dal periodo nominale del modo considerato.

3)                Amplificare gli spostamenti di ciascun modo per il fattore di errore sugli spostamenti del modo in questione. Amplificare le azioni interne con il fattore di errore sugli sforzi del modo in questione.

4)                Combinare gli effetti dei modi per le vie normali.

 

8        Conclusioni

 

         E stato proposto un metodo per tenere conto in modo ingegneristico degli errori sulla intensità di massa e di rigidezza, nonché degli errori sulla frequenza e sul fattore di struttura. Si propone di usare questo metodo per arrivare a stime maggiormente a favore di sicurezza degli spostamenti e delle azioni interne valutate mediante il metodo dello spettro di risposta.

 

9        Riferimenti

 

[1] Rugarli P. “Analisi modale ragionata”, EPC Libri, Roma, 2005 (in stampa)

[2] Collepardi Mario, “Scienza e Tecnologia del Calcestruzzo”, 3^ed., Hoepli, 1991

[3] Satake N., Suda K., Arakawa T., Sasaki A., Tamura Y., “Damping Evaluation Using Full-Scale Data of Buildings in Japan”, Journal of Structural Engineering, ASCE, 129, 4, April 2003